
General Meeting
Wednesday 11 December 2013
Roma Administration Centre
NOTICE OF MEETING
Date: 7 December 2013
Mayor: Councillor R S Loughnan
Deputy Mayor: Councillor W S Wason
Councillors: Councillor J L Chambers
Councillor R J Denton
Councillor P J Flynn
Councillor W M Newman
Councillor C J O’Neil
Councillor M L Price
Councillor D J Schefe
Chief Executive Officer: Ms Julie Reitano
Senior Management: Mr Michael Parker (Acting Director Infrastructure Services)
Mr Rob Hayward (Director Development, Facilities & Environmental Services)
Officers: Ms Jane Frith (Coordinator Corporate Communications)
Please find attached agenda for the General Meeting to be held at the Roma Administration Centre on December 11, 2013 at 9.00am.

Julie Reitano
Chief Executive Officer
TABLE OF CONTENTS
Item Subject
No
5 On the Table
5.1 Local Government Boundary Anomalies
Attachment 1: Maps - Local Government Boundary Anomolies................................. 5
Attachment 2: Map Showing General Locality of Lots................................................. 8
Reports
12.1 Naming of Unnamed Roads
Attachment : Roads to be named November 2013 with suggested names............... 9
12.2 Complaint/Request - Maintenance Grade & Repairs - Lindsay Berry - Pleasant Valley Access - Carnarvon Highway
Attachment 1: Lindsay Berry - Complaint - Grade and Repair of Road Outside Entrance to Pleasant Valley - 19/10/2013.............................................................. 15
Attachment 2: Lindsay Berry - Complaint regarding condition of road 1714 Carnarvon Highway "Pleasant Valley"................................................................................. 17
Attachment 3: Initial Acknowledgement - Mr Lindsay A Berry - Complaint re Entrance to Property at 1714 Carnarvon Highway 'Pleasant Valley'..................... 19
Attachment 4: Acknowledgement Letter to Lindsay Berry Re Property Entrance Enquiry for 1714 Carnarvon Hwy.......................................................................... 20
12.3 Request - Road Widening - Edinburgh Street, Mitchell
Attachment 1: CRM_Carmel Case_Request for Road Widening - Edinburgh St, Mitchell 21
Attachment 2: Acknowledgement Letter to Carmel Case Re Request for Road Widening - Edinburgh St, Mitchell......................................................................... 22
12.4 Request for gravel upgrade - Dan & Lucy Warby - Warrong Road
Attachment 1: Councillor Request - Cr. O'Neil - Dan & Lucy Warby - Gravelling Warrong Rd Mitchell................................................................................................ 23
Attachment 2: Acknowledgement Letter to Dan and Lucy Warby Re Request for Gravel Pavement to Warrong Rd................................................................... 24
Attachment 3: Dan & Lucy Warby - Kilmorey Cattle Company - Mitchell - Complaint regarding Condition of Waroonga Tooloombilla Road - Urgent repairs needed - 27.03.13............................................................................................................. 25
Attachment 4: Response Letter to Dan & Lucy Warby Re Waroonga Tooloombilla Road Maintenance........................................................................................ 27
Attachment 5: Dan & Lucy Warby - Kilmorey Cattle Company - Mitchell - Complaint regarding Condition of Waroonga Tooloombilla Road - Urgent repairs needed. 29
12.5 Use of Personal Transporters - Surat
Attachment 1: Map of Proposed Training Area - Use of Personal Transporters, Surat Lions Club............................................................................................................. 32
Attachment 2: Copy of Draft Hire Agreement, Lions Club of Surat Re: Surat Safaris Hire of Personal Mobility Devices PMD......................................................... 33
12.6 Council Policies for the Management of Roads
Attachment 1: DRAFT - Policy (Council): Construction of Roads for Access to Property (V0.1)............................................................................................................. 37
Attachment 2: DRAFT - Policy (Council): Property Accesses & Access Crossovers - Design, Construction & Maintenance (V0.1).................................................... 42
Attachment 3: DRAFT - Policy (Council): Request for Capital Upgrade of Roads (V0.1) 51
Attachment 4: DRAFT - Policy (Council): Grids & Gates (V0.1)............................... 54
Attachment 5: Subordinate Local Law No. 1.16 (Gates and Grids) 2011 - Certified Copy 62
Attachment 6: DRAFT - Policy (Council): Works in Road Reserves (V0.1).............. 72
Attachment 7: Subordinate Local Law No. 1.1 (Alteration or Improvement to Local Government Controlled Areas and Roads) 2011 - Certified Copy.......................... 77
12.7 Council Policy - Road Register
Attachment : DRAFT - Policy (Council) Road Register........................................... 86
12.8 Council Policies - Road Network Design and Maintenance Standards
Attachment 1: DRAFT - Policy (Council) Road Network Design Standards............. 92
Attachment 2: DRAFT - Policy (Council) Road Network Maintenance Standards... 97
12.9 Application to Permanently Close an Area of Road - Chrystal Street, Roma
Attachment : Map of Proposed Road Closure - Part of Chrystal Street & Duke Street, Roma........................................................................................................... 100
12.10 Register of Roads - 2013/14
Attachment 1: MRC Rural Road Network Road Register Map DRAFT.V2............ 101
Attachment 2: MRC Rural Road Network Road Register Index DRAFT.V2.......... 121
Attachment 3: MRC Urban Road Network Road Register Map - DRAFT.V2......... 133
Attachment 4: MRC Urban Road Network Road Register Index DRAFT.V2......... 147
13.1 Review Footpath Dining Liquor Licence Approval
Attachment 1: Application for service of alcohol in footpath dining area-Royal Hotel-05122013........................................................................................................... 156
Attachment 2: Insurance Information JLT-Local Law-05122013............................. 158
Attachment 3: Legislative extracts-Local Law-05122013......................................... 162
13.3 Request for Financial Support of the Maranoa Employment Expo
Attachment 1: Maranoa BEST Committee - Request for Financial Support (including budget and letters of support) - Maranoa Employment Expo (20 Nov 2013) 164
Attachment 2: community grant acquittal from Maranoa BEST Employment Expo committee October 2013.................................................................................... 171
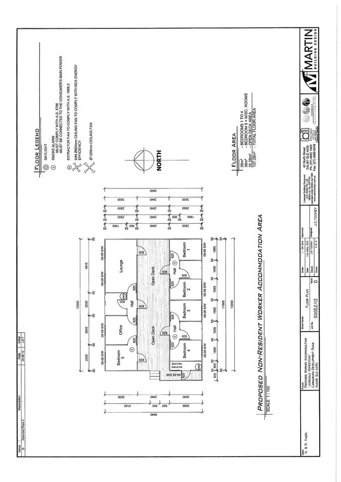
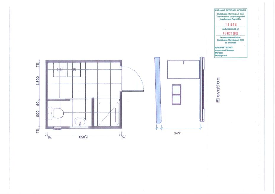
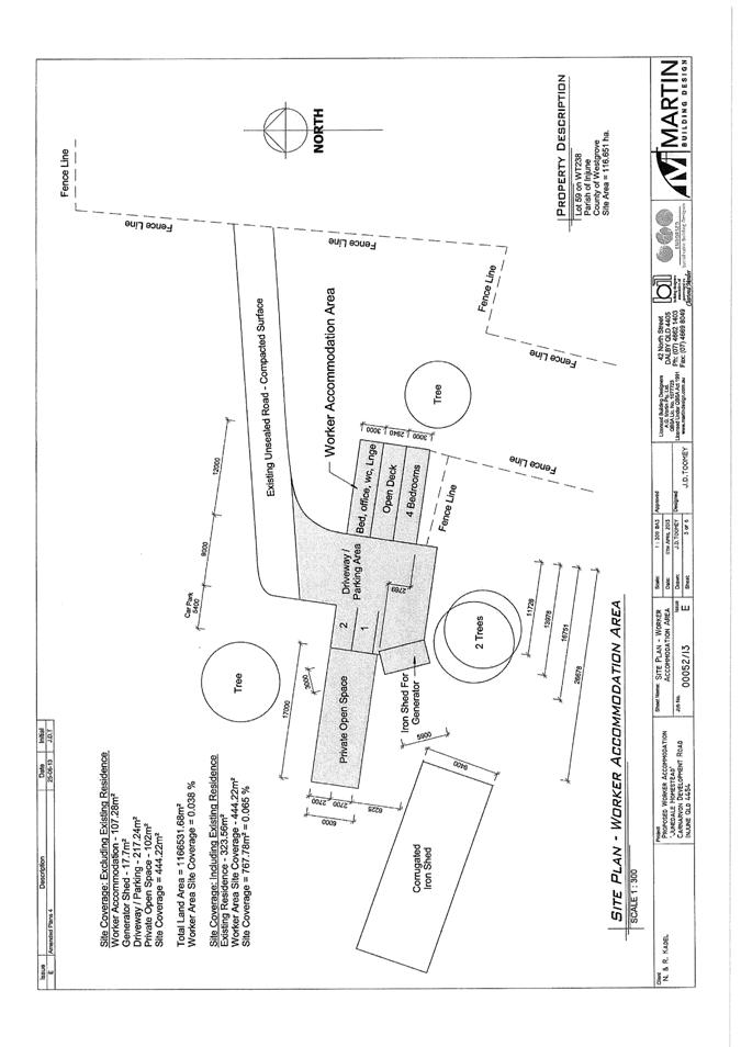
13.4 Material Change of Use - "Undefined Use" - Non-resident Workforce Accommodation (File: 2013/18637)
Attachment 1: Body of Report.................................................................................. 185
Attachment 2: Development Plans........................................................................... 203
Attachment 3: SARA Response............................................................................... 211
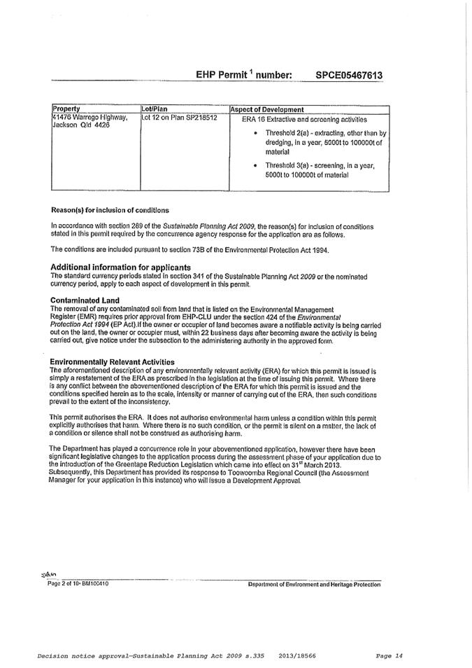
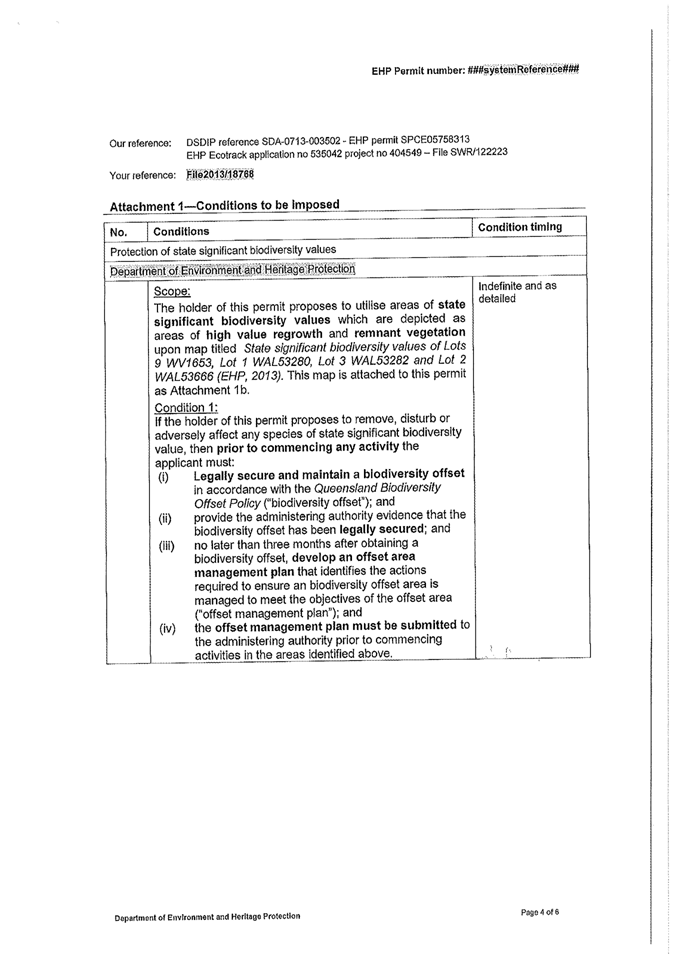
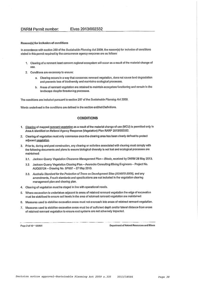
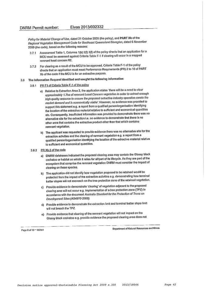
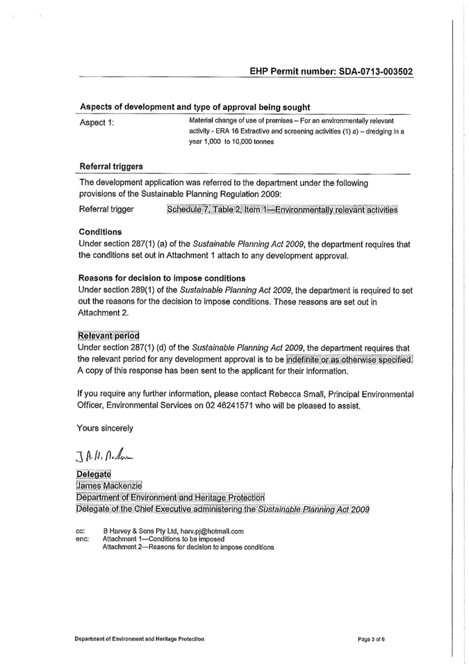
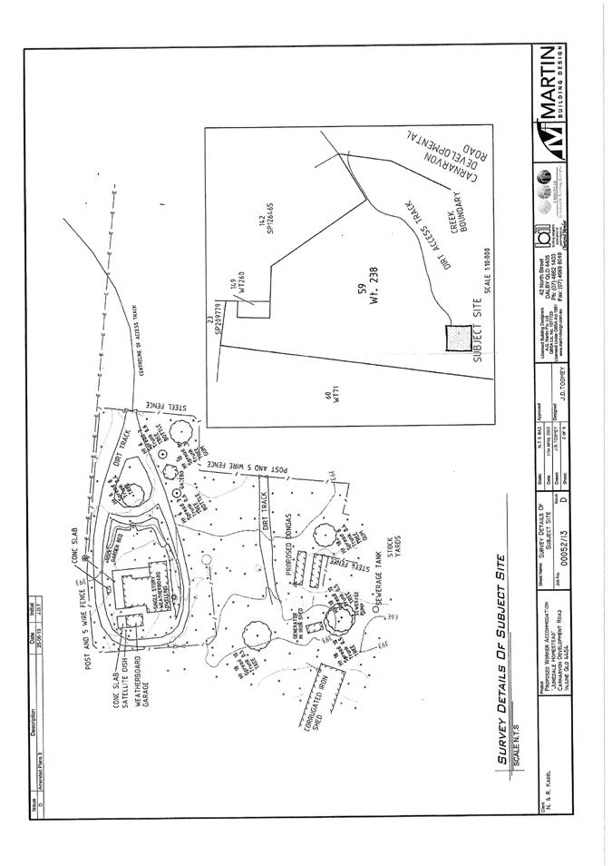
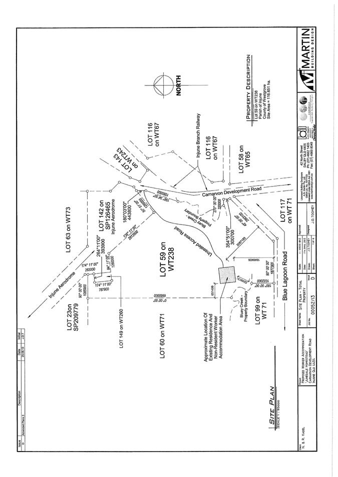
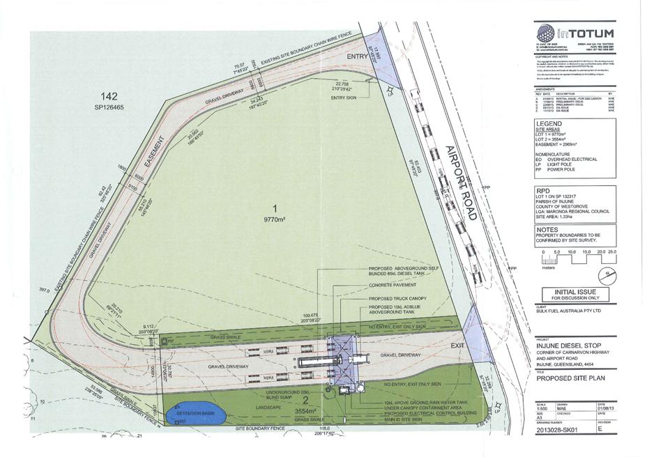
13.5 Material Change of Use - "Extractive Industry" (File: 2013/18676)
Attachment 1: Body of Report.................................................................................. 213
Attachment 2: Development Plans........................................................................... 230
Attachment 3: SARA Concurrence Agency Response........................................... 232
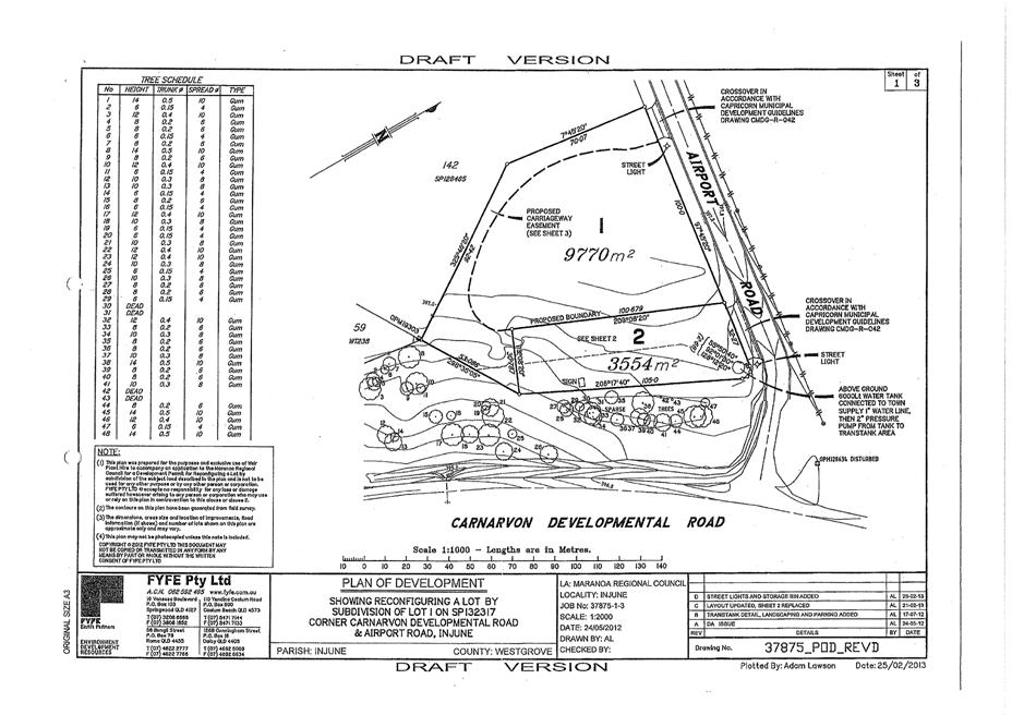
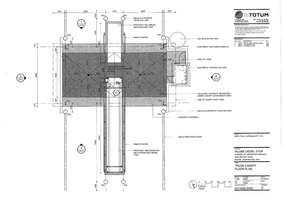
13.6 Material Change of Use - "Service Station", Environmentally Relevant Activity (ERA) 8 - Chemical Storage & Reconfiguring a Lot (1 Lot into 2 Lots + Access Easement) (File: 2012/18164)
Attachment 1: Body of Report.................................................................................. 251
Attachment 2: Department of Transport and Main Roads Response...................... 269
Attachment 3: Development Plans........................................................................... 280
13.7 Change to Service Levels Injune Pool
Attachment : Injune Pool Operating Hours and Attachments................................ 287
13.8 Site relocation - Booringa Blokes Men's Shed Inc.
Attachment 1: Original Council Report 8 May 2013................................................ 288
Attachment 2: Letter from The Booringa Blokes Men's Shed requesting permission to place a shed on old SES grounds in Mitchell ............................................... 291
13.9 Request for a Negotiated Decision Notice – Development Permit for Material Change of Use for “Motel” (25 Units and Manager’s Residence) and Reconfiguration of a Lot (Access Easement)(File: 2012/18397)
Attachment 1: Body of Report.................................................................................. 294
Attachment 2: Request for Negotiated Decision Notice .......................................... 297
Attachment 3: Decision Notice ................................................................................ 303
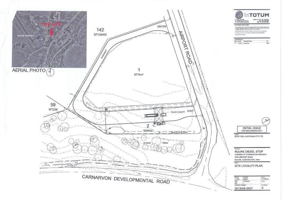
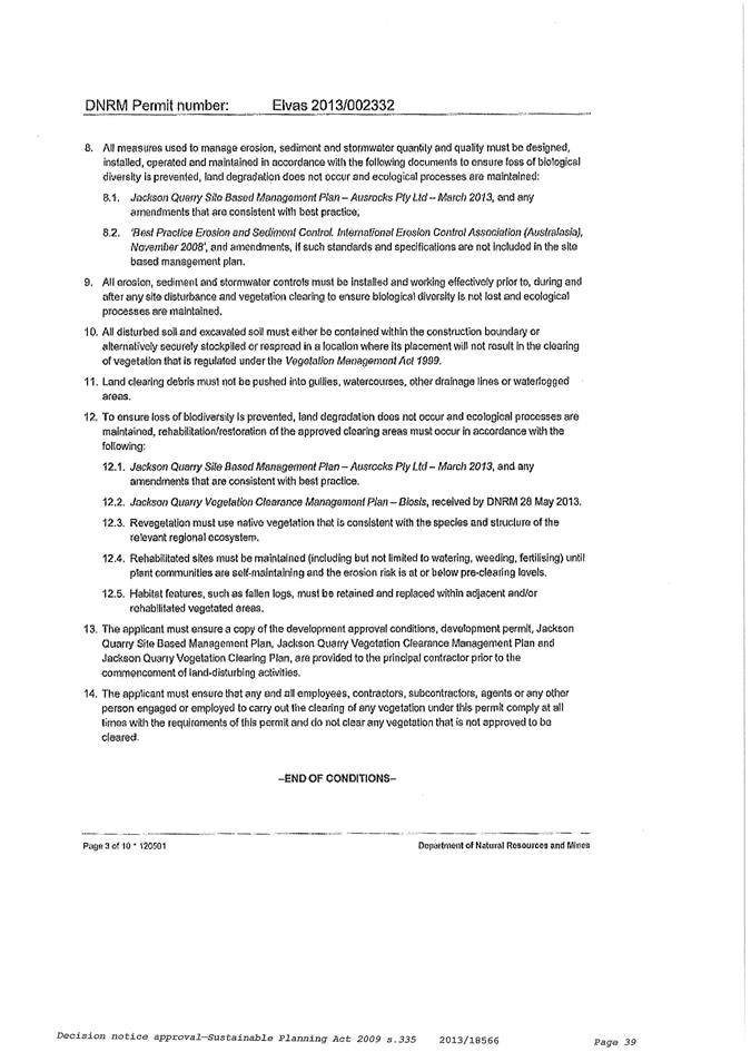
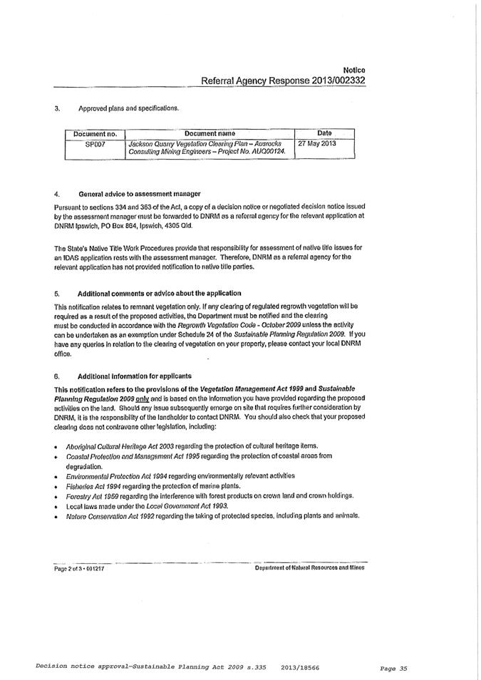
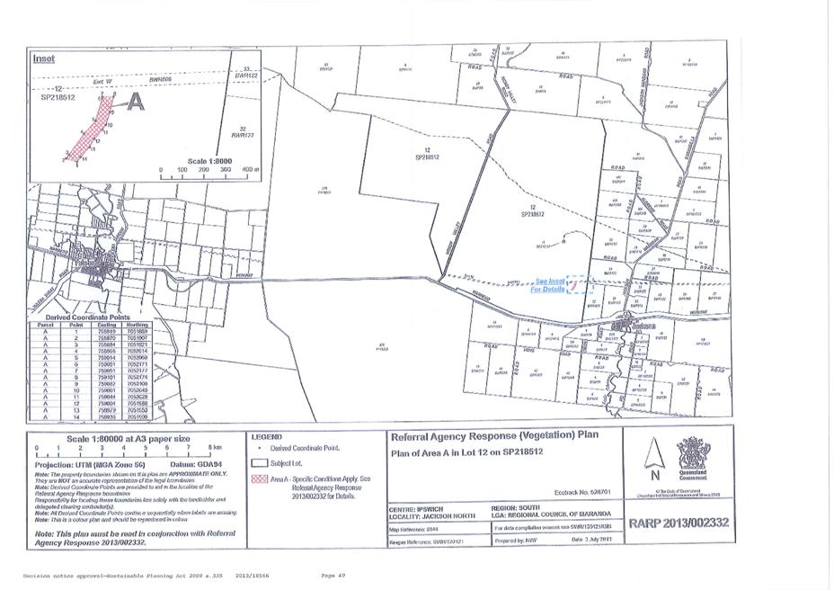
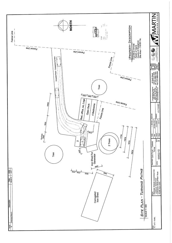
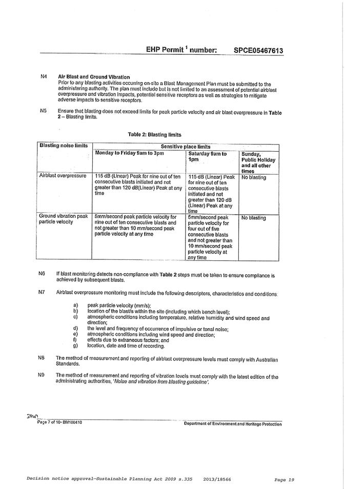
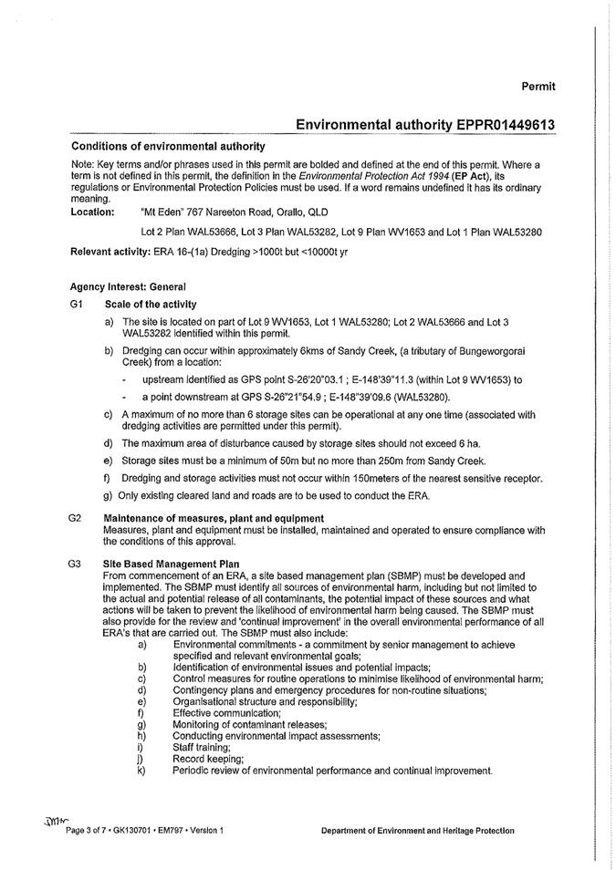
13.10 Request for a Negotiated Decision Notice - Development Permit for Material Change of Use for "Extractive Industry" (File: 2013/18566)
Attachment 1: Body of Report.................................................................................. 332
Attachment 2: Request for Negotiated Decision Notice........................................... 335
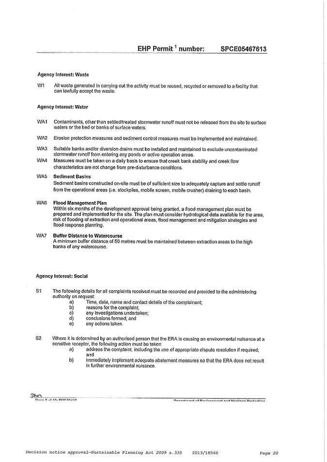
Attachment 3: Decision Notice Approval.................................................................. 337
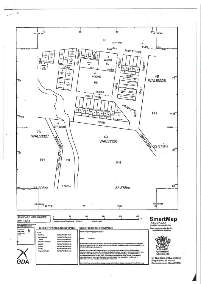
13.11 Application for Permanent Road Closure
Attachment 1: Application for Permenant Road Closure - Northern Bounday of Lot 49 on WAL53326......................................................................................... 393
Attachment 2: Area Maps for requested Road Closure - Northern Boundary of Lot 49 on WAL53326 - Wallumbilla................................................................... 396
13.12 Proposal to Alter the Boundaries of 16 Localities
Attachment : Map Showing Affected Lots.............................................................. 398
13.14 Approval of flood mapping and associated data for use with the Queensland Development Code
Attachment 1: Roma Adopted Flood Hazard Map................................................... 408
Attachment 2: Flood Hazard Criteria ....................................................................... 409
Status Reports
15.1 Business Activity Report - Saleyards and Quarry
Attachment 1: Roma Saleyards - Monthly Business Unit Financial Report - October 2013 411
Attachment 2: Roma Quarry - Monthly Business Unit Financial Report - October 2013 417
|
Lindsay Berry - Complaint - Grade and Repair of Road Outside Entrance to Pleasant Valley - 19/10/2013 |


|
Lindsay Berry - Complaint regarding condition of road 1714 Carnarvon Highway "Pleasant Valley" |


|
Initial Acknowledgement - Mr Lindsay A Berry - Complaint re Entrance to Property at 1714 Carnarvon Highway 'Pleasant Valley' |
Our Ref: D13/45814; D13/53003
3 November 2013
Mr Lindsay A Berry
366 Mt Molar Road
Nobby, Qld. 4360
Dear Mr Berry
Re: Initial Acknowledgement Letter – Property Entrance Enquiry
Thank you for your letter which was received by Council on 23 October 2013.
Our Manager Roads & Drainage (North East and Central), Mr Julian McEwan, was in the area on Saturday 2 November 2013.
I found the following phone numbers on file for him, but he was unable to reach you while he was in the vicinity:
4696 3220
4696 3116 (phone/fax)
He will keep trying, but if you haven’t heard anything further by the time this letter arrives, it would be appreciated if you could contact him directly on 0417 787 124.
Yours sincerely
Julie Reitano
Chief Executive Officer
|
Acknowledgement Letter to Lindsay Berry Re Property Entrance Enquiry for 1714 Carnarvon Hwy |
Our Ref: D13/50783;D13/55053
Enquiries: Clara Aitken
Phone: 4624 0712 (Direct) or
1300 007 662 (via Customer Service)
Office: Infrastructure Services
12 November 2013
Mr Lindsay A Berry
366 Mt Molar Road
NOBBY QLD 4360
Dear Mr Berry
Re: Property Entrance Enquiry for 1714 Carnarvon Highway
Thank you for your letter to Council dated 19 October 2013, outlining your concerns regarding the condition of the road at the entrance to your property at 1714 Carnarvon Highway.
Firstly we apologise that it has taken so long to respond to your initial request which you advised was some time ago. I have undertaken an initial review of your concerns raised and have allocated this matter to Kylie Fleischfresser – Coordinator Infrastructure Planning for further investigation. Following this investigation, a report will go to the Council meeting of 11 December 2013 for resolution.
Following this meeting I will advise you of the outcome.
Again, thank you for bringing this matter to the attention of Council. Please do not hesitate to contact Clara Aitken of my office on (07) 4624 0712, or by email clara.aitken@maranoa.qld.gov.au, if you have any further questions or concerns with progression of your request.
Yours faithfully
Kym Downey
Manager – Infrastructure Planning & Design
|
CRM_Carmel Case_Request for Road Widening - Edinburgh St, Mitchell |
From:Maranoa Regional Council[EX:/O=ROMA REGIONAL COUNCIL/OU=FIRST ADMINISTRATIVE GROUP/CN=RECIPIENTS/CN=COUNCIL]
To:Clara Aitken[EX:/O=ROMA REGIONAL COUNCIL/OU=EXCHANGE ADMINISTRATIVE GROUP (FYDIBOHF23SPDLT)/CN=RECIPIENTS/CN=Clara.aitken]
Received-Date:20131105
Received-Time:6:45:08 AM
Sent-Date:20131105
Sent-Time:6:45:07 AM
Subject:Updated/Reassigned Task Road Maintenance & Enquiry - 9430/2013
The following task has been updated or reassigned to you. Please review the details below and respondaccordingly.
Task Details
Request Number: 9430/2013
Request Category:Road Maintenance & Enquiry
Request Details:Carmel Case - 0428231893 --- Re: Road needs widening on Edinburgh Street between Mary and Alice Streets. Trucks use road alot it is a thorough fare for Semi trailers, tourist and other trucks using the pumping station. When passing, trucks have to get off and is creating considerable dust, potholes etc. could the road be widened to allow two vehicles to pass on the bitumen.
Task Comments:
Sent to Ritchie for information (Miss M L Fleming - 30/10/2013)
This would need to go to Council. Kym, is this something that you would handle (Miss M L Fleming - 04/11/2013)
Clara, could you please put this in TRIM, add the TRIM # as a comment to this task, do a standard acknowledgement letter and refer to Kylie for a meeting report please (Mrs K T Downey - 05/11/2013)
Customer Details
Name: C A Case
Address: 18 Edinburgh St MITCHELL QLD 4465
Home Phone: 0746231893
Mobile Number: 0428231893
Location Details:
Property Details (if applicable):
Street Details (if applicable):
Task Details:
Task to Complete: Investigate and action
Task Due Date: 01/11/2013
Click here to view your task <http://mrc-auth01/iservice/myTasks.do?nodeNum=2877&altask_key_num=157101>
|
Acknowledgement Letter to Carmel Case Re Request for Road Widening - Edinburgh St, Mitchell |
Our Ref: D13/53706;D13/53712
Enquiries: Clara Aitken
Phone: 4624 0712 (Direct) or
1300 007 662 (via Customer Service)
Office: Infrastructure Services
6 November 2013
Carmel Case
18 Edinburgh Street
MITCHELL QLD 4465
Dear Carmel
Re: Request for Road Widening – Edinburgh Street, Mitchell
Thank you for your call to Council’s Customer Service Centre on 25 October 2013, outlining your request for road widening on Edinburgh Street between Mary and Alice Streets, Mitchell.
I have undertaken an initial review of your concerns raised and have allocated this matter to Kylie Fleischfresser – Coordinator Infrastructure Planning, for further investigation. Following this investigation, a report will go to the Council meeting of 27 November 2013 for resolution.
Following this meeting I will advise you of the outcome.
Again, thank you for bringing this matter to the attention of Council, I will continue to keep you informed through to finalisation of your request.
Please do not hesitate to contact Clara Aitken of my office on (07) 4624 0712, or by email – clara.aitken@maranoa.qld.gov.au, if you have any further questions or concerns with progression of this matter.
Yours faithfully
Kym Downey
Manager – Infrastructure Planning & Design
|
Acknowledgement Letter to Dan and Lucy Warby Re Request for Gravel Pavement to Warrong Rd |
Our Ref: D13/51169;D13/54802
Enquiries: Clara Aitken
Phone: 4624 0712 (Direct) or
1300 007 662 (via Customer Service)
Office: Infrastructure Services
12 November 2013
Dan & Lucy Warby
“Kilmorey”
MITCHELL QLD 4465
Dear Dan and Lucy
Re: Request for Gravel Pavement to Warrong Road
Thank you for your customer feedback form addressed to Councillor Cameron O’Neil dated 23 October 2013, outlining your request for Council to provide gravel pavement to Warrong Road.
I have undertaken an initial review of your request raised and have allocated this matter to Kylie Fleischfresser – Coordinator Infrastructure Planning, for further investigation. Following this investigation, a report will go to the Council meeting of 11 December 2013 for resolution.
Following this meeting I will advise you of the outcome.
Again, thank you for bringing this matter to the attention of Councillor O’Neil; I will continue to keep Councillor O’Neil informed as this matter progresses.
Please do not hesistate to contact Clara Aitken of my office on (07) 4624 0712, or by email – clara.aitken@maranoa.qld.gov.au if you have any further questions or concerns with progression of your request.
Yours faithfully
Kym Downey
Manager – Infrastructure Planning & Design
|
Dan & Lucy Warby - Kilmorey Cattle Company - Mitchell - Complaint regarding Condition of Waroonga Tooloombilla Road - Urgent repairs needed - 27.03.13 |


|
Dan & Lucy Warby - Kilmorey Cattle Company - Mitchell - Complaint regarding Condition of Waroonga Tooloombilla Road - Urgent repairs needed |



|
Copy of Draft Hire Agreement, Lions Club of Surat Re: Surat Safaris Hire of Personal Mobility Devices PMD |




|
DRAFT - Policy (Council): Construction of Roads for Access to Property (V0.1) |
1. Policy Purpose
Maranoa Regional Council (Council) owns public roads for the community to use under the Local Government Act. The Act confers a “right of passage” by a member of the public to pass along a public road, subject to such restrictions as are imposed by the Council or law.
The purpose of this policy is to define the extent of capital improvement and / or maintenance Council provides in relation to access to properties on dedicated roads whether they are unmade, unformed or formed only.
This policy sets out Council's response to requests to construct new, extend or upgrade roads on road reserves or close roads under the care and control of Council, where no pavement currently exists. Typically these requests relate to historical subdivisions in rural areas which have gazetted road reserves but no constructed or maintained road assets.
The objectives of this policy are to clearly articulate that Council:
a. is under no obligation to construct a road or pavement;
b. is under no obligation to extend the length of an existing road;
c. is under no obligation to upgrade the level of service or hierarchy class of an existing road;
And to:
a. establish the basis and process for staff to deal with requests to construct new, lengthen existing and/or upgrade the level of service of roads;
b. ensure that there is a process that ensures all requests to construct new, lengthen existing and/or upgrade the level of service of roads are dealt with in a consistent, transparent and equitable manner;
c. ensure that there is a fair and transparent process in place for the improvement of formed, unformed and unmade roads.
2. Policy Scope
This Policy applies to historical gazetted road reserves under the jurisdiction of Council.
This policy does not apply to vehicular access (driveway) from the road to the property boundary, as the property owner is responsible for the construction and maintenance of such accesses.
To be clear this policy does not apply to new road reserves created by the reconfiguration of existing lots in accordance with a Council approved Development Application.
This policy should be read in conjunction with “Works in Road Reserve” policy and Subordinate Local Law No 1.1 (Alteration or Improvement to Local Government Areas and Roads) 2011.
3. Definitions
The Local Government Act 2009 Section 59 defines:
(2) A road is-
a) an area of land that is dedicated to public use as a road; or
b) an area of land that-
i. is developed for, or has a 1 of its main uses, the driving or riding of motor vehicles; and
ii. is open to, or used by, the public; or
c) a footpath or bicycle path; or
d) a bridge, culvert, ferry, ford, punt, tunnel or viaduct.
(3) However, a road does not include-
a) a State-controlled road; or
b) a public thoroughfare easement.
Dedicated Road An area of land dedicated to public use as a road, but does not include a State-controlled road under the Transport Infrastructure Act 1994.
Formed Road A public road reserve that does not have gravel paving but which is formed using a grader so that stormwater will drain off laterally.
Unformed Road A public road reserve that has been cleared and open to, and customarily used by the public.
Unmade Road A public road reserve that has had no capital improvements including clearing, formation and gravel paving. Notwithstanding, an unmade road may be trafficable or un-trafficable in all weathers.
4. Policy Details
There is no legal obligation on the Council to undertake capital improvements on unmade, unformed, or formed roads within a public road reserve for the purpose of access by the land owner to their land. Thus, Council will not undertake capital improvements to unmade, unformed, or formed roads except where a benefit to the community can be demonstrated. Community benefit, and thus any work, is to be determined by a specific Council resolution.
Should a landowner require access via an unmade, unformed or formed road, Council expects that the landowner will upgrade the road access at their cost. This puts them in the same situation as a subdivider who has to upgrade roads at their cost as part of a new development.
Where it can be demonstrated that there may be benefit to the community or that more than one landowner may benefit from the construction of the access; Council may enter into negotiations with the applicant/s to determine the value, if any, of Council contribution to the works. The outcome of any negotiations would be subject to acceptance by Council through a specific resolution.
Where Council receives a written request in relation to:
§ Clearing of road reserves and creation access to properties;
§ Construction of roads within the road reserve;
§ Capital improvements to unmade, unformed, or formed roads;
§ Maintenance of an existing road / access track which is not contained in Council’s road register and has not been maintained by Council;
the standards and requirements in relation to these matters as detailed in the following sections will apply.
4.1 Clearing
1. Clearing of trees and access works on road reserves and any approvals required are issued by the Department of Environment and Resource Management (DERM) after consultation with Council. Council reserves the right to refuse/object clearing applications dependent on issues which may arise.
2. Council does not object to DERM issuing approvals for clearing or minor earthworks for purposes of vehicular access to a property along a road reserve, provided that DERM is satisfied the works are necessary and restricted to the minimum amount practical. No maintenance responsibilities or legal liabilities are accepted by Council.
3. Where clearing occurs without approval Council may seek restitution of damages generated if deemed necessary.
4. Proponents of such works are to be required to extend their property public liability coverage over the section of ‘private’ access roadway and constructed within the road reserve.
4.2 Roadwork Carried out on the Road Reserve without Council Approval
1. Council does not condone or accept any responsibility for any work carried out on a road reserve under the care and control of Council, without its written approval and permission.
2. The section of roadway upon which unauthorised work has been undertaken will not be maintained or improved in any manner by Council and Council may remove or render impassable, the road section if a safety risk to the public or the environment has been established by the Chief Executive Officer (or delegate).
3. Similarly Council may seek restitution of damages generated by works undertaken without approval. Action under Chapter 3, Part 3, Section 75 of the Local Government Act 2009 may result.
4. No maintenance or legal liabilities are accepted by Council for works approved by other authorities, i.e. clearing.
4.3 Approved Roadwork – Addition to Road Register
1. Council may consider accepting sections of road onto its road register for ongoing control and maintenance subject to the following conditions being met by the applicant:
a. That a registered surveyor be engaged at the applicant’s cost to prepare a survey plan to ensure the existing or proposed roadway will be contained fully within the existing road reserve and not generate any encroachments or off alignment issues. This plan must be presented to Council prior to any physical works being undertaken.
b. Council will only agree to accept this roadway section should it be constructed to a standard equivalent to that shown on Council’s road hierarchy standard cross sections to the road in question. All costs for such works shall be required to be borne by the applicant.
c. Should the applicant request that Council undertake the works, following provision of survey data Council will prepare a cost estimate to construct the roadway to Council’s required standards. This information shall be transferred to the applicant/s who will be required to formally agree to accept responsibility for these costs.
d. Following acceptance of the project costs, negotiations can be undertaken with Council as to the method of delivery of the works, contract or Council, and required materials and pavement and construction specifications required.
e. Alternatively, subject to Council approval, the applicant can arrange for a suitably qualified contractor to undertake the works to Council’s standards, on the basis that Council undertake supervision of the works with the cost of such supervision being at the cost of the applicant.
f. Following completion of works to the required standards it will be the applicant’s responsibility to engage a Registered Surveyor to prepare an ‘as constructed’ plan of the road section reflecting constructed cross sections and levels for lodgement with Council.
2. Upon acceptance of the work and receipt of the ‘as constructed’ plan Council’s Road Register will be amended to reflect the addition of the road and the maintenance status of the new work.
3. Subject to the above conditions being achieved, Council will continue to maintain the road to a standard set by resource and budgetary constraints applicable within each financial year in accordance with Council Asset Management Planning.
4.4 Approved Roadwork – Roads Maintained by Others
1. Council may give consideration to the approval of works to construct a road or track which provides access to a limited number of properties or to one predominant user.
2. Where it is determined that the constructed access / track provides benefit to one predominant user and / or limited benefit to the public through minimal or occasional use, the road will not be maintained by Council.
3. Where roadwork is to be undertaken to construct a road that will not be maintained by Council, the constructed road will not be included in Council’s Road Register.
4. Construction of a road deemed to not be maintained by Council will however require approval prior to the construction works commencing.
5. Roads maintained by other must be signed as such. Signage is to be placed at all access points along the road.
6. Signage must include the following:
a. A statement that the road is not maintained by Maranoa Regional Council
b. Details of a nominated contact point to who queries / complaints can be directed.
4.5 Development Works on Road Reserve
Council will require road upgrading on any road reserve required for vehicular access to a proposed development generally within but not necessarily limited to the Sustainable Planning Act categories of material change of use of reconfiguration of a lot. Development Application and Operational works procedures apply.
4.6 General
Nil
5. Special Provisions (e.g. Privacy Provisions etc)
Nil
6. Related Policies and Legislation
§ Maranoa Regional Council – Road Hierarchy Plans and Cross-sections
§ Council Policy - Works in Road Reserve
§ Subordinate Local Law No 1.1 (Alteration or Improvement to Local Government Areas and Roads) 2011.
§ Local Government Act 2009
7. Associated Documents
Nil
|
DRAFT - Policy (Council): Property Accesses & Access Crossovers - Design, Construction & Maintenance (V0.1) |
1. Policy Purpose
Council receives requests for the construction of both urban and rural property accesses.
This policy sets out guidelines as to the location, size and standards for construction in relation to both urban and rural property accesses crossing road reserves such that a uniform standard is achieved and safe access to roads is maintained.
This policy details the responsibilities for the design, construction and maintenance of property accesses.
2. Policy Scope
This policy applies to all private and commercial property accesses in the region.
It does not override development conditions imposed for a particular development.
3. Definitions
|
Access Crossing |
An Access Crossing is that section of property access between the edge of the pavement or kerb and channel on a dedicated public road, and the property boundary. |
|
“Approved” Access Crossing |
An Access Crossing either constructed by Council or constructed by the owner and/or his contractor to Council’s specifications and level if appropriate. |
|
“Unauthorised” Access Crossing |
An Access Crossing constructed without prior permission and not in accordance with Council’s levels or specifications, or An Access Crossing that creates an obstruction to a public services, road, or stormwater drainage. |
|
Crossover |
A Crossover is the part of the driveway or drive-in that crosses over the verge area fronting a property i.e. from edge of road over the culvert to the property boundary line. |
4. Policy Details
4.1 General
1. No alteration or improvements shall be constructed or obstructions placed on the road reserve unless an approval under Local Law No. 1 & 4 is obtained and the work is in accordance with Council’s standards and conditions and is to the satisfaction of the Director – Infrastructure Services or their representative.
2. The obstruction of public services or drains or gutters with any objects used by the occupier to obtain access, and any structure of this nature is considered unauthorised.
3. The applicant is required to lodge an application fee for permission to construct in the road reserve. The value of the fee will be determined by Council from time to time.
4.2 Existing Accesses
1. If an existing access is to be upgraded it shall be assessed, designed and constructed in accordance with this policy.
2. From time to time accesses in the region may be audited by Council. Council may request upgrading of “unauthorised” access crossings and/or maintenance of “approved” access crossings. If owners do not comply with remedial action requested of Council, within a reasonable time frame, then Council will action repairs and seek compensation. This includes requesting drainage improvements wherever internal accesses either potentially or actually scour and cause silt deposits on joining road reserves, or where stormwater discharges on to a roadway are unsafe or detrimental.
4.3 Maintenance of Property Accesses
1. The responsibility of maintaining after completion of construction will belong to the property owner. Landowners are responsible for providing for drainage of stormwater entry or exiting their property along the access.
2. The following exemptions apply:
a. On Unkerbed Roads
Council will maintain the first one (1) metre of the access, in recognition of continuing requirements for shoulder grading and maintaining of drainage paths.
The maintaining of the road cross section including shoulder profile may mean that there is a slight dip in the access surface.
b. Construction Work
Council will restore any “Approved Access Crossing” that is affected by construction or maintenance work undertaken by Council subsequent to the construction of the access.
4.4 Design and Construction of Accesses
1. Persons wishing to construct or upgrade an Access or Access Crossing or Crossover are required to make application in writing to Council. This application applies whether the construction is to be undertaken by Council, a private contractor, or the owner.
2. Following receipt of an application to construct an Access Crossing or Crossover, the site may be inspected by Council to determine any conditions which will apply to the approval.
3. Where works are being constructed by other than Council a permit to perform works on the road shall be issued by Council subject to evidence of necessary insurance and other requirements deemed necessary. Reference is to be made to Council Policy “Works in Road Reserve”.
4. Private Contractors or property owners can construct the works only after an approval is issued for the construction of the driveway. The construction of the driveway is to be in accordance with Council approval and standards.
5. All works are to be inspected by a Council Officer.
a. Formwork must be inspected before concrete is poured and excavation must be inspected before pipes are laid.
b. Concrete must not be poured and pipes must not be laid until approved. (48 hours notice is required before concreting or pipe laying is to be carried out.)
c. Final inspection will be made following advice from the applicant that the construction is completed. The Access Crossing or Crossover shall be inspected and approved by Council.
6. The minimum requirements for a proposed Access Crossover or Crossing to be constructed are detailed Section 4.5. The standard Crossover drawings are attached in Appendix A.
4.5 Required Standards
1. Proposed accesses must be located so as to ensure adequate safe sight distance and safe gap distance are maintained.
2. Urban Driveways where Kerb and Channel Exists
a. All driveways leaving kerb and channel shall be constructed in accordance with Council’s Standard Drawing CMDG-R-041(B). Approval to vary the standard detail must be sought from the Director Infrastructure Services.
b. Wherever practicable, the location of crossings in relation to neighbouring lots shall be such as to preserve the maximum amount of kerbside parking space.
c. Where the site is a corner allotment, no crossing shall be situated closer than six (6) metres from the corner, or in the case of a channelised intersection, such greater distance as may be determined by the Director Infrastructure Services or his representative.
d. No crossing shall be approved unless there exists a clear space of not less than six (6) metres within the property boundary on which a vehicle may park.
e. Unless otherwise approved in the special circumstances of a particular case, all crossings shall be set square to the kerb line, and directly opposite the point of entry at the property boundary.
3. Industrial and Commercial Accesses
a. The crossing shall be constructed in accordance with CMDG-R-042(C) or CMDG-R-043(C) unless approval of the Director Infrastructure Services has been received.
4. Property Accesses Outside of Urban Areas where there is No Kerb and Channel
a. Accesses outside of urban areas shall be constructed in accordance with Council’s Standard Drawing CMDG-R-040(C).
4.6 Accesses and Driveways General
1. The costs of construction of any access crossing, driveway or crossover shall be borne by the property owner.
2. The cost of maintenance of any access crossing, driveway or crossover shall be borne by the property owner.
3. All water valves, hydrants, sewer manholes, telecommunications and power access points and the like are to be relocated clear of any proposed crossover/crossing at the expense of the property owner. The relevant authority in charge of any service is to be contacted so that services can be relocated clear of the proposed crossover/crossing prior to construction.
4. The applicant is responsible obtaining all permissions and approvals required for removal of vegetation or anything of environmental significance which intrudes into the proposed Access Crossing or Crossover. Any costs incurred in this regard will be the responsibility of the contractor, developer or applicant.
4.7 Other Considerations
1. The adoption of this policy does not limit in any way Council’s right to impose differing conditions for proposals, nor limit the discretion of the Director of Infrastructure Services to vary as considered necessary, the engineering requirements in respect of a particular application or individual property having regard to good engineering practice.
4.8 Disclaimer
1. Council shall have no responsibility to the user or applicant or any other person or entity with respect to any liability, loss or damage caused or alleged to be caused, directly or indirectly, by the adoption and use of this Policy and Standard Drawings including, but not limited to, any interruption of service, loss of business or anticipatory profits, or consequential damages resulting from the use of these Policy and Standard Drawings as the equivalent of, or a substitute for, project-specific design and assessment by an appropriately qualified professional.
2. No liability or warranty is implied or expressed by any inspection or the absence of any inspection by the Council decision regarding property access.
5. Special Provisions (e.g. Privacy Provisions etc)
Nil
6. Related Policies and Legislation
Nil
7. Associated Documents
Standard Drawings
Council Policy – Works in Road Reserve
Subordinate Local Law No 1.1 (Alteration or Improvement to Local Government Areas and Roads) 2011
APPENDIX A




|
DRAFT - Policy (Council): Request for Capital Upgrade of Roads (V0.1) |
1. Policy Purpose
Maranoa Regional Council (Council) owns public roads for the community to use under the Local Government Act. The Act confers a “right of passage” by a member of the public to pass along a public road, subject to such restrictions as are imposed by the Council or law.
The purpose of this policy is to define the process for application for an upgrade or improvement to a road listed in Council’s endorsed road register and for the provision of a response.
The objectives of this policy are to clearly articulate that Council:
a. is under no obligation to construct a road or pavement;
b. is under no obligation to extend the length of an existing road;
c. is under no obligation to upgrade the level of service or hierarchy class of an existing road;
And to:
a. establish the basis and process for staff to deal with requests to construct new, lengthen existing and/or upgrade the level of service of roads;
b. ensure that there is a process that ensures all requests to construct new, lengthen existing and/or upgrade the level of service of roads are dealt with in a consistent, transparent and equitable manner;
c. ensure that there is a fair and transparent process in place for the improvement of roads.
2. Policy Scope
This Policy applies to roads listed in the road register.
This policy does not apply to vehicular access (driveway) from the road to the property boundary, as the property owner is responsible for the construction and maintenance of such accesses.
To be clear this policy does not apply to new road reserves created by the reconfiguration of existing lots in accordance with a Council approved Development Application.
3. Definitions
The Local Government Act 2009 Section 59 defines:
(2) A road is-
a) an area of land that is dedicated to public use as a road; or
b) an area of land that-
i. is developed for, or has a 1 of its main uses, the driving or riding of motor vehicles; and
ii. is open to, or used by, the public; or
c) a footpath or bicycle path; or
d) a bridge, culvert, ferry, ford, punt, tunnel or viaduct.
(3) However, a road does not include-
a) a State-controlled road; or
b) a public thoroughfare easement.
Dedicated Road An area of land dedicated to public use as a road, but does not include a State-controlled road under the Transport Infrastructure Act 1994.
Constructed Road A public road that has gravel paving or / and bitumen surfacing added to the formation
Formed Road A public road reserve that does not have gravel paving but which is formed using a grader so that stormwater will drain off laterally.
Unformed Road A public road reserve that has been cleared and open to, and customarily used by the public.
4. Policy Details
There is no legal obligation on the Council to undertake capital improvements on roads within a public road reserve.
All requests for capital upgrade or improvement to a council road will be referred to a Meeting of council for resolution. Council officers do not have the authority to undertake upgrade or improvement works that have not been included as part of council’s endorsed operational plan or budget.
Where Council receives a written request in relation to a capital improvements to a road listed in the road register; the following standards and requirements will apply:
4.1 Initial Inspection
A council officer will carry out an initial inspection to determine the current condition, standard and geometry of the section for which the application has been made.
4.2 Report and Recommendation
The council officer will provide a report to the elected members providing detail of:
· The current standard of the road;
· The standard applicable according to adopted design standards and function of the road;
· An estimate of the cost to complete the works; and
· An estimate of the annual increase in maintenance costs and capital renewal costs should the works be undertaken;
4.3 Consideration by Council
Council will give consideration to:
· benefit to other users;
· impact of improvements on the whole network;
· impact of adopted budget and financial strategies;
· other considerations as deemed relevant to the application.
4.4 Response to Applicant
The applicant will be advised of the council resolution as recorded in the minutes of the meeting at which the report is presented.
Should the proposed works be deferred for future programming the applicant will be advised of same and receive progress updates as the works are considered further.
4.5 Register of Requests
A register will be maintained to record all requests for capital upgrades to council’s road network. This register will be reviewed annually as part of council’s budget deliberations.
5. Special Provisions (e.g. Privacy Provisions etc)
Nil
6. Related Policies and Legislation
§ Maranoa Regional Council – Road Hierarchy Plans and Cross-sections
§ Local Government Act 2009
7. Associated Documents
Nil
|
DRAFT - Policy (Council): Grids & Gates (V0.1) |
1. Policy Purpose
This policy is to be read in conjunction with Subordinate Local Law No. 1.16 (Gates and Grids) 2011 and provides further direction for application for grids and gates on Council managed roads.
2. Policy Scope
This policy applies to all applications for licensed grids and gates on public roads under the authority of Council.
Subordinate Local Law No. 1.16 (Gates and Grids) 2011 provides details as to the ownership of and responsibility for grids and gates on roads under the control of Maranoa Regional Council.
3. Definitions
Definitions detailed in Subordinate Local Law No. 1.16 (Gates and Grids) 2011 apply to this policy.
An owner of a gate or grid installed across a public road, means the person/s who receives the benefit of the gate or grid, i.e. does not have the roadway fenced out, which allows stock to graze the road reserve.
4. Policy Details
4.1. Repairs
Should works be required to the grid or gate, Council will notify the owner in writing and the owner shall rectify any problems immediately. If the works are not carried out within sixty (60) days of the date of the letter then Council may perform the works or remove the grid and bill the owner.
In the event of a safety hazard at the grid or gate the owner will be required to fix immediately to a level that is satisfactory to Council and then to a specification level within sixty (60) days.
4.2. Grids
1. Council’s standard specification for a single (4m) and double (8m) grid be the Aprilla Model Type S13H and Type S26H respectively (or equivalent) load rated at 16 ton/axle up to 80km/hr. All grids shall be accompanied by adjacent double gates with a minimum opening of 7.0 metres. Council’s standard specification will be made available for future use;
2. Council accepts alternative designs for single and double grids for a load rating of 16 ton/axle up to 80km/hr, including concrete abutments (sill logs are not permitted);
3. Each application submitted for Council approval that is not Council’s standard specification shall be accompanied by-
3.1. A certificate of design from a qualified Registered Professional Engineer Queensland (RPEQ) stating the design parameters.
3.2. Documentation providing details of the grid fabrication and installation.
4.3. Gates
Gates shall be:
1. Constructed so as to provide a minimum clear opening of 7.0 metres;
2. In two sections so as to permit convenient use by the public;
3. Of stock proof construction and to be swinging on hinges;
4. Fitted with a minimum of three delineators evenly spaced on each section of the gate;
5. Accompanied by a grid (Council will not licence a gate without a grid) where it is either across a road giving access to more than two properties, or more than one property which is residentially occupied, not taking into account the property of the applicant.
4.4. Signs
All signage will be in accordance with the Manual of Uniform Traffic Control Devices (MUTCD) Part 2.
4.5. General
1. Any licensed grid/gate approvals granted by Council shall have a ten year currency period, after which application will have to be made to Council for renewal.
2. Gates and Grids need to remain compliant during the period of the licence.
4.6. Standards and Exclusions
Licensed gate and grid requirements and exclusions will be as follows
|
Road Classification |
Licence Grid and Gate Type Required |
|
Collector road with greater than 250 vehicles per day |
Not permitted |
|
Major road with traffic volumes less than 250 but more than 20 vehicles per day |
Double grid |
|
Minor road less than 20 vehicles |
Single grid |
4.7. Applications
1. Applications must be made on the prescribed form and must be accompanied by all required supporting information and application fee.
2. Notification from all boundary neighbouring property holders indicating their objection or non-objection to the application must be included as part of the application submission.
4.8. Application Fees and Renewal Charges
1. The applicant will pay a fee on application.
2. A fee to renew an existing grid or gate licence will be payable at the time of application for renewal.
3. The fee payable on application and renewal will be as determined by Council as part of annual budget deliberations.
4. For the 2013/14 financial year these fees have been set at $250.00 application fee and $100.00 renewal fee. (12 December 2012 / GM.439.12)
4.9. Decision
1. Authority for the approval of licensed grid and gate applications accompanied by a ‘Non Objection Notice’ from each and all boundary neighbouring property holders has been delegated to the Chief Executive Officer. This authority may be further delegated to the Director – Infrastructure Services.
2. For applications received where one (1) or more ‘Notice/s of Objection/s’ is/are received, the application will be referred to Council for determination.
4.10. Approval for Works in Road Reserve
Council policy - Works in Road Reserve – applies to all works carried out with road reserves under the control of Council including the installation of grids and gates. Approval for the installation of grids and gates will be conditioned accordingly.
4.11. Council Works on Roads
In the event of Council performing new or upgrade construction roadwork at the grid or gate location, it is Council policy that the grid or gate be upgraded to meet Council specifications. The responsibilities in such a case are as follows:
Owner
a. Supply of grid or gate components to specifications (including associated signage)
b. Where applicable supply of materials and installation of any gates and fencing
c. Maintenance and registration of grid or gate at completion or works
Council
a. Where applicable remove the existing grid and associated infrastructure and deliver to a mutually agreeable location
b. Installation of new grid, abutments and signage
c. Complete associated roadworks.
Council may:
a. Waive any grid application fee payable, but not any renewal charges applicable.
b. Waive any application process required at the time of installation.
4.12.
Fencing out Roads
In all circumstances, Council encourages landholders to fence out roads to eliminate the need for grids and/or gates.
Council offers financial incentives to encourage landholders to voluntarily fence road reserves and eliminate licensed grids and gates, Council will reimburse licensed gate and/or grid owners per grid / gate following:
a. The removal of the gate / grid and associated structures (by Council);
b. The road being fenced out to a stock proof standard;
c. The presentation of a tax invoice by the owner; and
d. Final inspection and acceptance by Council.
except in the case of a property boundary grid, where each individual owner, upon fencing their section, would each be reimbursed half of the total payment. Council will reimburse the owner the full subsidy value for the removal of a grid, where the adjoining neighbour is a government agency.
Where the owner of a grid and/or gate, fences out a road eliminating a grid / gate which was previously a boundary grid between two owners and one of these owners has previously fenced out their side of the grid and received half of the subsidy under this policy, the later owner shall only be paid half the total subsidy.
The value of the financial incentive offered will be as determined through annual budget deliberation processes.
1. For the 2013/14 financial year this subsidy has been set at $1,500 per grid or gate removed. (11 December 2013 / GM.???.???)
5. Special Provisions (e.g. Privacy Provisions etc)
Nil
6. Related Policies and Legislation
Nil
7. Associated Documents
Application Form
Subordinate Local Law No. 1.16 (Gates and Grids) 2011 (D12/5737)
Council Policy – Works in Road Reserve
|
||||
|
Permit to Erect Gate and/or Grid Across a Road Applications for a Permit or transfer of Permit for Gates and Grids will be considered by Council subject to the provisions of the Local Government Act 2009, Local Law No. 4 (Roads) and Subordinate Local Law No. 1.16 (Gates and Grids) of Maranoa Regional Council.
Applications will only be considered by Council upon receipt of a completed application form with required supporting information and the payment of the relevant fee. There is an initial fee for a 10 year permit and a renewal fee every 10 years thereafter. A separate transfer fee will apply in cases of change of ownership.
Council will advise, in writing, of its approval or otherwise, together with any special conditions it consider necessary, for the convenience of the public.
The following attachments should be understood prior to completion of the application form. o Subordinate Local Law No. 1.16 o Permit and Licence Application Form
|
||||
Application Owner's Name: __________________________________________________________ Postal Address: __________________________________________________________ Real Property Description of land owned: Lot _________________ Plan:____________________ Property Location: ________________________________________________________________ I/We hereby make application for a permit to erect a gate/grid across the road as shown on attached plan. ________________________________________________________________________________________________________________________________________________________________ Name and Address of person who will under take the work ________________________________________________________________________________ ___________________________________________________Telephone No. ________________ Details: (1) Design dimension: ______________________________________________________________ (2) When & how Gate/Grid will be built: ________________________________________________________________________________ (3) Attach Site Plan to scale & specification 0 Yes 0 No (4) Details of builder’s insurance: _____________________________________________________ (5) Sign “Permitted Public Gate” to be Attached: 0 Yes 0 No
I/We have attached hereto a plan showing the exact location of the proposed gate and/or grid relative to the property boundaries and the road reserve.
In consideration of the Council granting such licence I/we hereby undertake that I/we will at all times hereafter indemnify and keep indemnified the Council against the payment of all claims, demands, damages, charges and costs and against all liability arising with respect to the said gate and/or grid and against all actions, suits, proceedings, claims and expenses whatsoever which may be taken or made against the Council or incurred or become payable by the Council with respect thereto. I/we acknowledge that:-
(1) It will be a standard condition of every approval that the approval holder constructs the gate or grid and the approaches to the gate or grid in accordance with Council’s Standard Specification for Gates and Grids.
(2) It will be a standard condition of approval that the holder of an approval for a gate or grid will be responsible for maintaining the gate and/or grid and approaches described above.
|
||||
|
Signed
|
||||
|
Adjoining Property Holders Objection or Non-objection I/We, being the owner of property __________________________ which adjoins the property as stated on the attached plan, have no objection/object to the installation of a gate/grid at the location indicated.
Reason for objection (if applicable):________________________________________________________ ________________________________________________________________________________
Name/s of property owner: ____________________________________________________________
Signature/s: _____________________________________ Date: _____________________________
Witness Name of Witness: ___________________________________________________________________
Signature: _____________________________________ Date: _____________________________
|
||||
|
Adjoining Property Holders Objection or Non-objection I/We, being the owner of property __________________________ which adjoins the property as stated on the attached plan, have no objection/object to the installation of a gate/grid at the location indicated.
Reason for objection (if applicable):________________________________________________________ ________________________________________________________________________________
Name/s of property owner: ____________________________________________________________
Signature/s: _____________________________________ Date: _____________________________
Witness Name of Witness: ___________________________________________________________________
Signature: _____________________________________ Date: _____________________________
|
||||
|
Office Use Only: Application Fee:___________ Receipt No: _____________ Date Received: ____________
Licence No: Register Updated: |
2013/14 Fees and Charges
Application Fee: $250
Renewal Fee (every 10 years): $100
|
DRAFT - Policy (Council): Works in Road Reserves (V0.1) |
1. Policy Purpose
This policy is to be read in conjunction with Subordinate Local Law No 1.1 (Alteration or Improvement to Local Government Areas and Roads) 2011 and provides further direction for application for council permission to carry out works in road reserves.
2. Policy Scope
This policy applies to all road reserves under the authority of Maranoa Regional Council.
3. Definitions
Nil
4. Policy Details
4.1 Roadworks Carried out on the Road Reserve without Council Approval
1. Council does not condone or accept any responsibility for any work carried out on a road reserve under the care and control of Council, without its written approval and permission.
2. The section of roadway upon which unauthorised work has been undertaken will not be maintained or improved in any manner by Council and Council may remove or render impassable, the road section if a safety risk to the public or the environment has been established by the Chief Executive Officer (or delegate).
3. Similarly Council may seek restitution of damages generated by works undertaken without approval. Action under Chapter 3, Part 3, Section 75 of the Local Government Act 2009 may result.
4. No maintenance or legal liabilities are accepted by Council for works approved by other authorities, i.e. clearing.
4.2 Application
1. Applications must be made on the prescribed form and must be accompanied by all required supporting information and application fee.
4.3 Application Fees and Renewal Charges
1. The applicant will pay a fee on application.
2. The fee payable on application will be as determined by Council as part of annual budget deliberations.
3. For the 2013/14 financial year these fees are as detailed below:
|
Permits |
Unit |
Charge |
|
Pipeline Permit (excluding Rural water for agricultural purposes) |
Per 100m within Road Reserve |
$ 525.00 |
|
Excess Mass/Rig Movement |
Per Permit |
$ 350.00 |
|
Maintenance Permit |
Per Permit |
$ 210.00 |
|
Access Permit |
Per Access |
$ 180.00 |
|
Temporary Access Permit |
Per Access |
$ 180.00 |
|
Residential Access Permit |
Per Access |
$ 130.00 |
|
Low Impact |
Per Permit |
$ 350.00 |
|
Road Haulage Permit |
Per Permit |
$ 350.00 |
4.4 Decision
Authority for the approval of applications has been delegated to the Director – Infrastructure Services or their representative.
4.5 Assistance with Works and Approval Conditions
As conditions of approval for works within a road reserve may prove onerous to some applicants Council may provide a level of assistance to the applicant.
This assistance may take the form of:
a. Assistance with management of traffic
b. Provision of signage required for management of traffic
c. Supervision of works
d. Other as determined by Council through resolution.
Applicants requiring assistance to comply with approval conditions should, in the first instance, advise Council in writing of assistance required. The level of assistance provided will be as determined by the Director – Infrastructure Services.
4.6 Exceptional Circumstance
Through resolution, Council may declare exceptional circumstances under which works required to be undertaken in a road reserve will be completed by council workforce at minimal or no cost to the beneficiary.
a. Declaration of Drought
In those areas of Maranoa Regional Council that have been drought declared by the Queensland Government Council will, on receipt of an application, undertake the earthworks required to provide a road crossing for the purpose of provision of rural water pipeline at no cost to the applicant. The applicant will be responsible for the supply of the materials for the pipeline
Following receipt of a written application detailing location and dimensions, council officers will negotiate a suitable timeframe with the applicant. During this negotiation, consideration must be given to the urgency of the request and the availability of suitable workforce and required plant. The maximum timeframe in which the works should be undertaken is 28 days from acknowledgement of receipt of application.
5. Special Provisions (e.g. Privacy Provisions etc)
Nil
6. Related Policies and Legislation
Nil
7. Associated Documents
Application Form
Subordinate Local Law No 1.1 (Alteration or Improvement to Local Government Areas and Roads) 2011
|
APPLICATION PROCESSING FEE ASSOCIATED WITH ALL PERMITS – REFER BELOW |
|
||||||||||||||||
|
Please note sections marked in blue are mandatory. |
|
MRC Permit No. ( - - ) |
|
||||||||||||||
|
COMPANY DETAILS |
|
||||||||||||||||
|
Company: |
|
|
|||||||||||||||
|
Department: |
|
|
|||||||||||||||
|
Postal Address: |
|
|
|||||||||||||||
|
Email: |
|
|
|||||||||||||||
|
Contact: |
|
Phone:
|
|
||||||||||||||
|
PERMIT APPLICATION - GENERAL DETAILS |
|
||||||||||||||||
|
Permit Type: |
(1) Pipe crossing { } |
2) Turnout/Access { } |
(3) Low Impact { } |
|
|||||||||||||
|
Go to Applicable section below: |
(4) Rig Move/Ex. Mass { } |
5) Road haulage { } |
(6) Maintenance { } |
|
|||||||||||||
|
Road / Lot / Location (Chainage): |
|
|
|||||||||||||||
|
|
|
||||||||||||||||
|
Road type: |
Constructed {} |
Unconstructed { } |
Sealed { } |
Unsealed { } |
|
||||||||||||
|
Locality Plan: |
|
Document Number: |
|
|
|||||||||||||
|
Start date: |
/ / |
Expected Duration: |
|
|
|||||||||||||
|
Credit Card Details: |
Name on card |
|
|||||||||||||||
|
Card # Expiry Darte |
|
||||||||||||||||
|
Expiry Date |
OR PO: |
|
|||||||||||||||
|
1. Pipe Crossing ($525 per 100m or part there of) |
|
||||||||||||||||
|
Coordinates (WGS84): |
Latitude:
|
Longitude:
|
|
||||||||||||||
|
Type: |
Crossing { } |
Longitudinal { } |
Crossing angle: 0 |
|
|||||||||||||
|
Proposed Method |
Bored { } |
Open Cut { }
|
|
||||||||||||||
|
Number / Type Pipes: |
|
|
|||||||||||||||
|
Additional Needs: |
Additional Work space { } |
Temp. Turnout { } |
Access Track { } |
|
|||||||||||||
|
If relevant, tick above and complete section 2. No additional fees apply. |
|
||||||||||||||||
|
Attachments: |
Attached |
Document Number |
|
||||||||||||||
|
Detailed layout plan: |
|
|
|
|
|||||||||||||
|
Road reserve X section: |
|
|
|
|
|||||||||||||
|
Type cross section: |
|
|
|
|
|||||||||||||
|
TMP: |
|
|
|
|
|||||||||||||
|
Plan showing additional work space / Track: |
|
|
|
||||||||||||||
|
Temporary Turnout Design: |
|
|
|
||||||||||||||
|
Other:
|
|
|
|
||||||||||||||
|
2. Turnout Construction (General $180 / Residential $130) |
|
||||||||||||||||
|
Coordinates (WGS84): |
Latitude:
|
Longitude:
|
|
||||||||||||||
|
Existing Road: |
Road width:
|
Bitumen Width:
|
|
||||||||||||||
|
Use / Duration: |
|
|
|||||||||||||||
|
Vehicle use: |
|
|
|||||||||||||||
|
Attachments: |
Attached |
Document Number |
|
||||||||||||||
|
Detailed layout plan: |
|
|
|
|
|||||||||||||
|
Cross section / drainage layout: |
|
|
|
||||||||||||||
|
Turnout Design: |
|
|
|
|
|||||||||||||
|
TMP: |
|
|
|
|
|||||||||||||
|
Other:
|
|
|
|
||||||||||||||
|
MRC - OFFICE USE ONLY |
|
||||||||||||||||
|
Date Received:
|
Date Approved: |
|
|
||||||||||||||
|
Trim File Number:
|
|
|
|||||||||||||||
|
3. Low Impact Surveys ($350) |
|||||||||||||||||
|
Scope / Description: |
|
||||||||||||||||
|
Extent of application: |
|
||||||||||||||||
|
Attachments: |
Attached |
Document Number |
|||||||||||||||
|
Detailed layout plan:
|
|
|
|||||||||||||||
|
TMP:
|
|
|
|||||||||||||||
|
Vehicle Weight, Dimensions & Type: |
|
|
|||||||||||||||
|
Other:
|
|
|
|||||||||||||||
|
4. Rig Movement/Excess Mass Vehicles ($350) |
|||||||||||||||||
|
Rig Name/Vehicle Registration: |
|
||||||||||||||||
|
Proposed Route: |
|
||||||||||||||||
|
|
|
||||||||||||||||
|
Date/s: |
|
Pilot Escort: |
YES / NO |
||||||||||||||
|
Attachments:
|
Attached |
Document Number |
|||||||||||||||
|
Plant: Weight, Dimensions, Veh.Type & Loads |
|
|
|||||||||||||||
|
Detailed layout plan: |
|
|
|
||||||||||||||
|
TMP:
|
|
|
|||||||||||||||
|
Other: |
|
|
|
||||||||||||||
|
5. Road Haulage ($350) |
|||||||||||||||||
|
Route / Location: |
|
||||||||||||||||
|
Type material : |
|
||||||||||||||||
|
Vehicle configuration: |
|
||||||||||||||||
|
Start Date: |
|
Duration of Works:
|
|
||||||||||||||
|
Daily movements: |
|
Pilot Escort Required:
|
YES / NO |
||||||||||||||
|
Attachments:
|
Attached |
Document Number |
|||||||||||||||
|
Detailed layout plan: |
|
|
|
||||||||||||||
|
TMP: |
|
|
|
||||||||||||||
|
Additional Workspace: |
|
|
|
||||||||||||||
|
Temporary turnout cross section design: |
|
|
|||||||||||||||
|
Other: |
|
|
|
||||||||||||||
|
6. Maintenance / Construction ($210) |
|||||||||||||||||
|
Maintenance Type: |
Suppress Dust { } |
Formation Grade { } |
Grid/Gate Mtce { } |
||||||||||||||
|
|
Bitumen seal { } |
12 Month Mtce contract { } |
Gravel Resheet { } |
||||||||||||||
|
|
Shoulder Grade { } |
Fence line clearing { } |
Other { } |
||||||||||||||
|
Description / Scope of works: |
|
||||||||||||||||
|
|
|
||||||||||||||||
|
Coordinates (Grid): |
Latitude:
|
Longitude:
|
|||||||||||||||
|
Extent of application: |
|
||||||||||||||||
|
Material Type / Source |
|
||||||||||||||||
|
Attachments: |
Attached |
Document Number |
|||||||||||||||
|
Detailed layout plan
|
|
|
|||||||||||||||
|
TMP:
|
|
|
|||||||||||||||
|
Cross section / drainage layout: |
|
|
|||||||||||||||
|
Plan showing additional work space |
|
|
|||||||||||||||
|
Other:
|
|
|
|||||||||||||||
Name: Signature: Position: Date:
|
Subordinate Local Law No. 1.1 (Alteration or Improvement to Local Government Controlled Areas and Roads) 2011 - Certified Copy |









|
DRAFT - Policy (Council) Road Register |
1. Policy Purpose
The Local Government Act 2009 (the Act) requires a local government in Queensland to adopt a register of roads categorised by the road surface and to map each road on the register. This register must be available for public inspection.
The purpose of this policy is to define the categories and classifications under which roads will be included on the Road Register and to provide processes for the management of the adopted register.
2. Policy Scope
This Policy applies to the register of roads as adopted by Council through resolution.
3. Definitions
The Local Government Act 2009 Section 59 defines:
(2) A road is-
a) an area of land that is dedicated to public use as a road; or
b) an area of land that-
i. is developed for, or has a 1 of its main uses, the driving or riding of motor vehicles; and
ii. is open to, or used by, the public; or
c) a footpath or bicycle path; or
d) a bridge, culvert, ferry, ford, punt, tunnel or viaduct.
(3) However, a road does not include-
a) a State-controlled road; or
b) a public thoroughfare easement.
Dedicated Road An area of land dedicated to public use as a road, but does not include a State-controlled road under the Transport Infrastructure Act 1994.
Urban developed area which may comprise densely developed uses such as residential, commercial, industrial, education, recreation or a mix of these. In general, this is characterised by evenly spaced street lighting, kerbed streets, and frequent closely spaced driveways. This will also include land designated for future urban development;
Rural sparsely developed area which may comprise rural development, rural residential lots greater than 1ha and isolated industrial sites. In general this is characterised by unkerbed streets, both sealed and unsealed roads, infrequent driveways and large tracts of undeveloped land.
4.
Policy Details
4.1. General
Roads listed on the adopted road register are roads that are currently maintained, to differing extents, by council. Road extensions beyond the Council’s mapped road register will not be maintained by Council.
Roads on this register are considered public roads open to the public for access, as stated in Act.
Roads on this register have been categorised according to surface and further categorised by function.
4.2. Categorisation of Roads by Surface
In accordance with the Act roads on the register will be categorized according to surface.
The following categories will apply:
· Sealed,
· Unsealed and
· Sealed/Unsealed for roads on which both surfaces are present.
4.3. Hierarchical Classification
The hierarchy principles of road classification provide a means of classifying a roadway according to its purpose, function and management.
The concept of the hierarchy of roadways is used to define the main functional objectives of each roadway type, which can then form the basis of ongoing planning and system management aimed at reducing the mix of incompatible functions and maximising the role of roadways in the various networks. Setting a road classification system provides guidance when considering the standard of maintenance and upgrading work on a particular road. It allows consistent standards to be applied across the region and ensures that the greatest value for money is attained.
It is intended that this process be carried out in a network sense, as it is imperative that corridor continuity be considered. Classification of existing roadways should support future amendments to the hierarchy and the associated changes in performance criteria.
To accommodate the different needs in urban and rural areas, each planning area has been considered separately.
4.3.1. Rural Road Classification
The five (5) functional classifications for rural roads under the control of Maranoa Regional Council are:
· Rural Arterial
· Rural Collector
· Rural Access
· Minor Access
· Unformed Tracks
Roads classified as National Highways or Declared State Roads do not come under local government authority
Three of these classifications have been expanded further as detailed below:
· Rural Arterial
o - Major;
o – Minor;
· Rural Collector
o – Major A
o – Major B
o - Minor
· Rural Access
o Primary A
o Primary B
o Secondary
The function of each of these classifications is:
Arterial Road is the highest order of road. The primary objective of arterial roads is to provide major through routes for traffic. All longer distance traffic movements should be directed onto the arterial roads. Arterial roads should form a principal connection between major regional centre’s and towns in rural areas. It is recognized that arterial roads will have direct property access. On arterial roads the priority is to provide efficient traffic flow through increased speed and capacity.
A Collector roads’ primary purpose is for the collecting and distributing traffic from local access roads to the arterial and declared state road network.
Access roads provide access from properties through to a higher order road.
Minor access roads are roads that are used infrequently by the public that may provide access to a single property.
An unformed track is a road that has not been formed or improved.
The above categories relate to the function of a road within the road network and may not, in all instances, reflect the actual volume of traffic on the road. When attributing a functional classification to a road the importance of the road within the hierarchy should be the guiding consideration.
4.3.2. Urban Street Classification
The function of urban streets can be categorised by both the zone within which they are placed – residential, commercial or industrial – and their relative position in a hierarchy within that zone.
The adopted classifications, which consider both the purpose and hierarchical function, for urban streets under the control of Maranoa Regional Council are:
· Access Place
· Access Street
· Urban Collector – Minor
· Urban Collector – Major
· Trunk Collector
· Commercial
· Industrial Access
· Industrial Collector
The function of each of these classifications is:
Access Place is the lowest order street and its main function is residential space, vehicular movement is somewhat restricted in this area.
Access Street, the next order, is still mainly focused on providing residential space amenity however it allows more vehicular movement, usually the connecting street of an access place.
Minor Urban Collector streets connect major roads. Traffic speeds and volumes are restricted to increase safety and residential amenity.
A Major Urban Collector has a main function of traffic conveyance. High density residential amenity and non-residential amenity is on this street.
Trunk Collector Street has almost no frontage to residences, parking is discouraged and the main function is the conveyance of traffic through a town.
Industrial Access, provisions are made for large vehicle access, including turning and
Industrial Collector connects major roads to the industrial access space.
Commercial streets contained within the central business district. Provisions are made for parking and pedestrians.
4.4. Update and Review
1. The road register will be updated on an annual basis to reflect any changes to road categorisation by surface type or by classification. Additional roads approved and accepted by council, will be added to the register at this time.
2. The register will be reviewed on an annual basis prior to the budget deliberations of elected members and endorsed by members at that time.
3. Following review and updating the register will be reissued with the addition of the details of the council resolution through which it has been endorsed as the road register for Maranoa Regional Council.
4.5. Appeals and Amendments
1. The road register will be available for public review and comment at all times.
2. Should it be considered that a road has been incorrectly categorised or classified a request for review or revision of the category or classification should be made in writing to the Chief Executive Officer.
3. The applicant must provide details of the data considered to be in error or requiring review, proposed amendment and justification for the amendment.
4. Following receipt of a request for review or amendment a council officer will inspect the nominated road and provide a recommendation to elected members for consideration. Should the amendment be endorsed by council an addendum, detailing the accepted change and resolution number, will be added to the published road register and maps.
5. The accepted change will not be included in the register until the time of the annual review and update.
4.6. Addition to Road Register
4.6.1. Approved Roadwork
Council may consider accepting sections of road onto its road register for ongoing control and maintenance subject to the conditions detailed in Section 4.3 of Council Policy: Construction of Roads for Access to Property; being met by the applicant:
Subject to the above conditions being achieved, Council will continue to maintain the road to a standard set by resource and budgetary constraints applicable within each financial year in accordance with Council Asset Management Planning.
4.6.2. Approved Roadwork – Roads Maintained by Others
Where a road is constructed that will not be maintained by Council, the constructed road will not be included in Council’s Road Register.
4.6.3. Development Works on Road Reserve
Roads constructed through the application of Development Application and Operational works procedures will be accepted onto the road register for ongoing control and maintenance following acceptance of the road as off-maintenance by an authorised Council Officer.
4.7. Documentation
In accordance with Section 74 (4) of the Act, on application and payment of a fee, a person may obtain:
a. a copy of a map or register of roads; or
b. a signed certificate about:
i. the category, alignment and levels of roads; or
ii. the fact that the alignment or level of a road in its area has not been fixed.
4.8. Fees and Charges
The fees will be as determined by Council as part of annual budget deliberations.
For the 2013/14 financial these fees have been set as follows:
· Copy of a map or register of roads $16.50
· Certificate of road detail $27.50
(11 December 2013 GM ???/??:
5. Special Provisions (e.g. Privacy Provisions etc)
Nil
6. Related Policies and Legislation
§ Council Policy: Construction of Roads for Access to Property
§ Local Government Act 2009
7. Associated Documents
Nil
|
DRAFT - Policy (Council) Road Network Design Standards |
1. Policy Purpose
Maranoa Regional Council has adopted the Capricorn Municipal Development Guidelines (www.cmdg.com.au) as a guide to requirements within the Maranoa region.
The design and construction specifications and drawings to be applied to road network infrastructure within the Maranoa Regional Council region is displayed on the Capricorn Municipal Development Guidelines website (www.cmdg.com.au).
The purpose of this policy is to provide direction as to the standard to be applied when determining the standard to which a road is to be constructed or upgraded.
2. Policy Scope
This Policy applies to all roads in Council’s adopted Road Register or for which construction approval is to be issued.
3. Definitions
The Local Government Act 2009 Section 59 defines:
(2) A road is-
a) an area of land that is dedicated to public use as a road; or
b) an area of land that-
i. is developed for, or has a 1 of its main uses, the driving or riding of motor vehicles; and
ii. is open to, or used by, the public; or
c) a footpath or bicycle path; or
d) a bridge, culvert, ferry, ford, punt, tunnel or viaduct.
(3) However, a road does not include-
a) a State-controlled road; or
b) a public thoroughfare easement.
Dedicated Road An area of land dedicated to public use as a road, but does not include a State-controlled road under the Transport Infrastructure Act 1994.
Urban developed area which may comprise densely developed uses such as residential, commercial, industrial, education, recreation or a mix of these. In general, this is characterised by evenly spaced street lighting, kerbed streets, and frequent closely spaced driveways. This will also include land designated for future urban development;
Rural sparsely developed area which may comprise rural development, rural residential lots greater than 1ha and isolated industrial sites. In general this is characterised by unkerbed streets, both sealed and unsealed roads, infrequent driveways and large tracts of undeveloped land.
Hierarchical Classification As defined in Council Policy: Road Register
4.
Policy Details
4.1. General
When determining the standard to which a road or street is to be constructed or upgrade to, consideration must be given to the function of the road and the volume of traffic which may use the road.
Design standards should be applied to individual road issues as they arise within Council’s road network. It is important to recognize the need for flexibility in these design standards (although some aspects may be mandatory) in order to accommodate site specific examples where other issues represent a major constraint. Nonetheless, in applying flexibility, it is important that the objectives for the overall hierarchy are satisfied.
4.2. Rural Roads
4.2.1. Standard Cross-section
The standard cross section of a rural road includes the formation, pavement, surface and infrastructure to assist in drainage of the road as detailed below.

4.2.2. Standards
The standards applicable to rural roads give consideration to the volume of traffic on the road.
|
Vehicles per Day (VPD) |
Component Width (m) |
Flood Immunity (ARI Years) |
Indicative Hierarchical Classification |
|||||
|
Formation (F) |
Pavement (PW) |
Seal (SW) |
||||||
|
As constructed |
|
Minor Access |
||||||
|
0 |
- |
9 |
6 |
0 |
0 |
1
|
Rural Access - Secondary |
|
|
10 |
- |
39 |
8 |
4 |
0 |
2 |
Rural Access - Primary B |
|
|
40 |
- |
99 |
8 |
7 |
0 |
2 |
Rural Access - Primary A |
|
|
100 |
- |
149 |
8 |
8 |
7 |
2 |
Rural Collector - Minor |
|
|
150 |
- |
250 |
9 |
8 |
7 (8)* |
5 |
Rural Collector - Major B |
|
|
Vehicles per Day (VPD) |
Component Width (m) |
Flood Immunity (ARI Years) |
Indicative Hierarchical Classification |
|||||
|
Formation (F) |
Pavement (PW) |
Seal (SW) |
||||||
|
250 |
- |
1000 |
9 |
8 |
8 |
5 |
Rural Collector - Major A |
|
|
1000 |
- |
3000 |
10 |
9 |
9 |
10 |
Arterial - Minor |
|
|
3000 |
- |
5000 |
10 |
9 |
9 |
10 |
Arterial - Major |
|
|
> 5000 |
||||||||
* As the material available for construction or upgrade of roads is of a lower quality than that available historically there is benefit, through reduced maintenance costs, in sealing the shoulders of sealed roadways. Extending the sealed area to cover the shoulders assists in keeping the pavement dry and prevents loss of pavement strength through the impact of moisture.
Design speed is to be generally used as the basic parameter of design standards and the determination of the minimum design value for other elements on rural roads is to be based on the concept of a "speed environment" as outlined in AUSTROADS Guide to Road Design – Part 3: Geometric Design.
Where appropriate the design of superelevation, widening and centreline shift and their associated transitions are to comply with relevant AUSTROADS Guide.
Where the table drain is likely to scour, a stone pitched or suitably lined dish drain is to be constructed along the invert. Also for grades of less than 0.5%, the inverts of the drain are to be lined to prevent siltation.
Where the upgrade or construction of a road, and particularly resulting overland flow, may impact on adjoining land, the landholder must be consulted as part of the design process prior to commencement of works.
Horizontal and vertical curves are to be designed generally to the requirements of AUSTROADS Guide to the Road Design – Part 3: Geometric Design. These requirements are essential to satisfy the safety and performance of proper road design. Roads having both horizontal and vertical curvature should be designed to conform to the terrain to achieve desirable aesthetic quality and being in harmony with the landform.
4.3. Urban Streets
4.3.1. Standard Cross-section
In addition to the components which are part of a rural road; formation, pavement and surface, urban street standard cross-sections may also include kerb and channel, pathways, lighting and utility services.

4.3.2. Urban Street Standards
The standard component requirements applicable to urban streets are determined by the function of the street.
|
Classification |
No of Dwellings |
Traffic Generation |
Minimum Reserve Width (m) (RW) |
Nominal Carriageway Width (m) (CW) |
Max Design Speed (kph) |
Pathways (no x m) |
|
Access Place |
0-25 |
0-250 |
18 |
10 |
30 |
Nil |
|
Access Street |
26-60 |
251-600 |
18 |
10 |
40 |
Nil |
|
Minor Urban Collector |
61-150 |
601-1500 |
20 |
12 |
50 |
1 x 1.5 |
|
Major Urban Collector |
151-300 |
1501-3000 |
25 |
12 |
60 |
1 x 1.5 |
|
Trunk Collector Street |
N/A |
>3,000 |
25 |
14 |
60 |
1 x 2 |
|
Commercial |
N/A |
- |
30 |
22 |
40 |
Full width x 2 |
|
Industrial Access |
<8ha |
- |
25 |
12 |
50 |
Nil |
|
Industrial Collector |
<30 |
- |
30 |
18 |
60 |
1 x 2 |
Detailed design standards can be found in CMDG documentation.
4.4. Review of Standards
Council will regularly review the volume of traffic using a public road as a means to determine the standard required for the road.
Maranoa Regional Council has adopted the Capricorn Municipal Development Guidelines (www.cmdg.com.au) as a guide to requirements within the Maranoa region. The standards listed in the CMDG documents will reviewed regularly to ensure their continued appropriateness and value to this region.
5. Special Provisions (e.g. Privacy Provisions etc)
Nil
6. Related Policies and Legislation
§ Council Policy: Road Register
§ Local Government Act 2009
7. Associated Documents
Nil
|
DRAFT - Policy (Council) Road Network Maintenance Standards |
1. Policy Purpose
The purpose of this policy is to provide direction as to the frequency of maintenance, upgrade and renewal works on roads managed by Council.
2. Policy Scope
This Policy applies to all roads in Council’s adopted Road Register.
3. Definitions
The Local Government Act 2009 Section 59 defines:
(2) A road is-
a) an area of land that is dedicated to public use as a road; or
b) an area of land that-
i. is developed for, or has a 1 of its main uses, the driving or riding of motor vehicles; and
ii. is open to, or used by, the public; or
c) a footpath or bicycle path; or
d) a bridge, culvert, ferry, ford, punt, tunnel or viaduct.
(3) However, a road does not include-
a) a State-controlled road; or
b) a public thoroughfare easement.
Dedicated Road An area of land dedicated to public use as a road, but does not include a State-controlled road under the Transport Infrastructure Act 1994.
Urban developed area which may comprise densely developed uses such as residential, commercial, industrial, education, recreation or a mix of these. In general, this is characterised by evenly spaced street lighting, kerbed streets, and frequent closely spaced driveways. This will also include land designated for future urban development;
Rural sparsely developed area which may comprise rural development, rural residential lots greater than 1ha and isolated industrial sites. In general this is characterised by unkerbed streets, both sealed and unsealed roads, infrequent driveways and large tracts of undeveloped land.
Hierarchical Classification As defined in Council Policy: Road Register
4. Policy Details
4.1. General
Generally Council roads will be designed and maintained to comply with a geometric standard to satisfy a driving speed of at least 80 kph. Geometric standards to cater for vertical and horizontal curves, sight and stopping distances will be applied.
In general advisory or mandatory speed signs will be placed at locations where hazards exist. The principal that drivers should travel at speeds which suit the prevailing road conditions at all times must be recognised and observed by all road users.
Maintenance practices are intended to maintain driver/passenger comfort at design speeds however as a result of maintenance frequency this may not always be possible.
Maintenance works will be carried out as resources and funding allows with priority given to those sites where it is considered that there is a high risk to the safety of users. Regular scheduled maintenance will be prioritised according to the volume of traffic using the road and the function of the road within the established hierarchy.
4.2. Rural Roads
4.2.1. Scheduled Maintenance – Unsealed Pavement
As a guide scheduled maintenance frequency for paved or formed roads may be undertaken as per the schedule below.
|
Classification |
Frequency ( /yr) |
|
|
Light Maintenance Grade |
Heavy Maintenance Grade |
|
|
Minor Access |
- |
- |
|
Rural Access - Secondary |
1 |
- |
|
Rural Access - Primary B |
1 |
- |
|
Rural Access - Primary A |
1 |
- |
|
Rural Collector - Minor |
1 |
1 |
|
Rural Collector - Major B |
1 |
1 |
|
Rural Collector - Major A |
1 |
1 |
Maintenance on roads deemed to be in the category of Minor Access will only be undertaken only when external funds are available to fund the works. Roads in this category will not be renewed or upgraded at the cost of council.
Definitions for the individual activity types are as follows:
· Light Maintenance Grading includes a light grading to remove transverse scours and wheel ruts and the clearing of drains as required. Machinery - Grader
· Heavy Maintenance Grading includes ripping the existing pavement, mixing water, relaying and compacting with a roller. All diversion drains are to be reinstated. Machinery – Grader, Water Truck, Roller.
4.2.2. Scheduled Maintenance – Sealed Pavement
Maintenance of sealed rural roads will be undertaken as required to rectify defects identified through regular inspection of all components.
Consideration will be given to the hierarchical function of the road and volume of traffic impacted by the defect when prioritising the works.
·
4.3. Urban Streets
4.3.1. Scheduled Maintenance
Maintenance of urban streets will be undertaken as required to rectify defects identified through regular inspection of all components.
Consideration will be given to the function of the street and volume of traffic, both vehicular and pedestrian, impacted by the defect when prioritising the works.
Maintenance on streets deemed to be in the category of Minor Access will only be undertaken only when external funds are available to fund the works. Streets in this category will not be renewed or upgraded at the cost of council.
4.4. Renewal of Roads
Renewal of council’s road network, specifically gravel resheeting and bitumen resealing, will be undertaken as funds and resources permit. Prioritisation of works will consider the overall condition of the component and any increase in maintenance costs that would result should the renewal work not be undertaken.
As with road network maintenance the volume of traffic on the road and the function of the road will be considered prior to determining what renewal works can be funded and undertaken.
4.5. Upgrade of Roads
Wherever possible Maranoa Regional Council will actively pursue external sources of fund works to upgrade rural roads and urban streets. External sources which may be considered include: Federal Government, Queensland Government and industry sources.
4.5.1. Priority of Works
Upgrade, renewal and maintenance works on council roads will be scheduled as funds and resources allow. After consideration of works necessary to manage road section which present a high risk to the safety of users, priority will be given to projects and works on those roads on which higher traffic volumes flow and those considered to have a higher function in the road hierarchy.
4.6. Review of Standards
Council will regularly review the volume of traffic using a public road as a means to determine the standard required for the road.
5. Special Provisions (e.g. Privacy Provisions etc)
Nil
6. Related Policies and Legislation
§ Council Policy: Road Register
§ Local Government Act 2009
7. Associated Documents
Nil
|
Maranoa BEST Committee - Request for Financial Support (including budget and letters of support) - Maranoa Employment Expo (20 Nov 2013) |







|
Body of Report |
1.0 Background information
The proposed development is for a Material Change of Use – “Undefined Use” (Non-resident workforce accommodation). The proposal includes two (2) pre-fabricated demountable buildings, connected by a 3m wide open deck area, and consisting of five (5) bedrooms, an office, two (2) communal bathrooms and a lounge room.
The accommodation is intended for FIFO workers, who are to be driven to and from Injune Aerodrome (which adjoins the northern site boundary) by a camp manager.
The site is currently connected to Council’s reticulated water supply system, and has electricity and telecommunications available. The proposed electricity supply to the accommodation buildings will be by way of a diesel generator.
The site currently contains a dwelling house and associated structure (garage and sheds). The proposed vehicle access is via the existing point onto the Carnarvon Highway, to be shared with the dwelling house. The proposal includes utilising the existing internal road, of unsealed, compacted surface, and the construction a new section. The proposal also includes two (2) carparking spaces.
The development application was publically notified between 23 September 2013 and 15 October 2013, and no properly made submissions were received.
The State Assessment & Referral Agency as a concurrence agency for the development have carried out an assessment in relation to potential impacts on State-controlled road infrastructure, and have issued a response stating they have no requirements (refer to Attachment 3).
2.0 Definition of use and assessment status - the premises – locality and zoning
The proposed use is an undefined use under the Bungil Shire Planning Scheme 2006.
The site is situated at “Junedale” 8925 Carnarvon Highway, Injune QLD 4454, described as Lot 59 on WT238 (refer Figure 1 - Site Boundaries).

|
|||||||
|
|||||||
|
|||||||
|
|||||||
Figure 1 – Site Boundaries Source: Queensland Atlas 2013
The site is situated in the Rural Zone of the Bungil Shire Planning Scheme 2006 (refer Figure 3 - Zoning).

|

Figure 2 – Zoning Map Source: Bungil Shire Planning Scheme 2006
The site has an area of approximately 116.65ha, and contains an existing dwelling house and associated structures (garage and shed). A creek intersects the southern half of the site, forming part of the boundary. The site has a frontage onto the Carnarvon Highway along the eastern boundary, and onto Blue Lagoon Road along the southern boundary. The site is located south-west of the town of Injune, with the Injune Aerodrome adjoining the northern boundary (refer to Figure 3 – Aerial Photograph).

![]() |
|||
|
|||
Figure 3 - Aerial Photograph Source: Google Earth
3.0 Assessment against the planning scheme
Impact assessment
This application is subject to Impact Assessment and is assessed against the relevant provisions of the planning scheme, including any relevant codes. The provisions of the Sustainable Planning Act 2009 [SPA] may be summarized: s313 provides that the assessment manager must carry out the impact assessment having regard to—
(a) the State planning regulatory provisions;
(b) the regional plan for a designated region, to the extent it is not identified in the planning scheme as being appropriately reflected in the planning scheme;
(c) any applicable codes, other than concurrence agency codes the assessment manager does not apply, that are identified as a code for IDAS under this or another Act;
(d) State planning policies, to the extent the policies are not
(i) any relevant regional plan as being appropriately reflected in the regional plan; or
(ii) the planning scheme as being appropriately reflected in the planning scheme;
(e) any applicable codes in the following instruments—
(i) a structure plan;
(ii) a master plan;
(iii) a temporary local planning instrument;
(iv) a preliminary approval to which section 242 applies;
(v) a planning scheme;
(f) if the assessment manager is an infrastructure provider—the priority infrastructure plan.
There is no conflict with these provisions of the Sustainable Planning Act 2009.
Proposed use, with conditions, is not in conflict with planning scheme
Although the planning scheme requires that the proposed development is assessed against the Impact Assessable provisions of the planning scheme, the development proposed does not conflict with the intent of the planning scheme for the zone in which it is to be located.
Desired Environmental Outcomes
The Desired Environmental Outcomes (DEOs) are based on ecological sustainability established by IPA and are the basis for the measures of the planning scheme. Compliance is outlined below:
(a) Environment
(i) The areas of high scenic amenity, remnant vegetation, wetlands, fauna habitats and wildlife corridors and regionally significant open space in the Shire are protected.
The site contains a creek running through the southern half of the site. Any environmental impacts can be appropriately mitigated by way of conditions of development, including a time limit of ten (10) years, given the temporary nature of the activity.
(ii) Places, areas or sites identified as being susceptible to land degradation, including contamination, erosion, salinity and landslip, are protected and further degradation is minimised.
The site has not been identified as being susceptible to land degradation.
(iii) Ecological sustainability is achieved by maintaining and improving biodiversity, water and air quality.
The site contains a creek running through the southern half of the site. Any environmental impacts can be appropriately mitigated by way of conditions of development, including a time limit of 10 years, given the temporary nature of the activity.
(iv) Places of historical and indigenous cultural heritage and social significance are protected, maintained and enhanced.
The site has not been identified as containing any places of historical, cultural or social significance.
(b) Economic
(i) Good Quality Agricultural Land is protected as a major economic resource for the region.
The site is mapped as GQAL. The proposed development will be operated within a relatively small section of the site and will not adversely impact on the ability of the balance area to be used for agricultural purposes. Further, the development will be conditioned with a ten (10) year time limit.
(ii) Key Resource Areas, extractive resources, petroleum, gas and mineral resources are protected as a major economic resource for the region.
The proposed development seeks to service the resource industry activities within the region by providing for workers accommodation.
(iii) Industry, business and employment opportunities are improved and appropriately located to service the community and region, and encourage economic activity within the local area.
The proposed development seeks to service the resource industry activities in the area by providing for workers accommodation, thereby contributing to continued economic activity within the region.
(iv) Rural business opportunities are improved to protect and value-add to the existing rural based economy.
The proposed development contributes to the rural based economy, utilising the proximity of the site to the Injune Aerodrome, in terms of providing practical non-resident workforce accommodation.
(c) Community Well-Being & Lifestyle
(i) A convenient access to roads and services is achieved through well located land uses and the efficient use and timely provision of infrastructure such as water, sewerage and roads walkways and cycling facilities.
The proposed development will gain vehicle access via the existing point onto the Carnarvon Highway. The site is located within Council’s reticulated water supply area, and can be provided with an electricity supply and telecommunications. Matters relating to the provision of infrastructure can be appropriately addressed by way of conditions of development.
(ii) Rural residential and urban residential development occurs in distinct localities that provide a sense of community, amenity, services, and a safe, affordable living environment, whilst maintaining rural amenity.
The proposed workers accommodation is relatively low-impact in terms of scale, and is appropriately located within a rural lot in close proximity to the town of Injune.
(iii) Infrastructure networks such as road, rail, water cycle and electricity are protected from encroachment by sensitive land uses which may adversely affect or limit the normal operation of that infrastructure.
The proposed development will not adversely impact on any existing infrastructure networks.
(iv) The role and identity of Injune as the main business and community centre of the shire is consolidated.
The proposed development generally promotes the identity of Injune as a business centre.
(v) The adverse effects from natural and other hazards, including bushfires are minimised.
The site has not been identified as a bushfire hazard area. Given the temporary nature of the activity, it is considered the development will not significantly increase exposure of persons and property to natural hazards.
(vi) The range of housing types, services and facilities meets the needs of the community and other uses.
The proposed development, being for workers accommodation, provides for diversity in temporary accommodation options within the region.
Overall Outcomes for Rural Zone Code
The Rural Zone Code identifies overall outcomes providing direction about relevant assessment issues. The overall outcomes for the Rural Zone Code are the purpose of the code. The code seeks to ensure that development within the Rural Zone:
(a) reflects the economic potential of the rural area
The proposed development is appropriately located within a rural lot in close proximity to the town of Injune and the Injune Aerodrome.
(b) is appropriately located within the Rural Zone and existing and future Rural Activities are not prejudiced by inappropriate development
The proposed development will be operated within a relatively small section of the site and will not adversely impact on the ability of the balance area or neighbouring lots to be used for agricultural purposes. Further, the development will be conditioned with a 10 year time limit.
(c) maintains the environment, including soil, air and water, compatible with healthy natural systems and ensures public health and safety
Any environmental impacts can be appropriately mitigated by way of conditions of development.
(d) protects Good Quality Agricultural (GQAL) from fragmentation, alienation or encroachment of incompatible land uses in accordance with State Planning Policy 1/92 – “Development and Conservation of Agricultural Land”
The site is mapped as GQAL. The proposed development will be operated within a relatively small section of the site and will not adversely impact on the ability of the balance area to be used for agricultural purposes. Further, the development will be conditioned with a ten (10) year time limit.
(e) is located, designed and operated in a manner that protects and enhances the predominant rural scale, intensity, form and character
The proposed development consists of a relatively small scale operation, in keeping with the intensity, form and character of the locality.
(f) maintains the rural amenity
The proposed development consists of a relatively small scale operation, appropriately located within close proximity of the town of Injune and Injune Aerodrome, and generally in keeping with the rural amenity.
(g) does not prejudice or impact adversely on other uses including those within other Zones
The proposed development will not prejudice or adversely impact on other uses, including established uses within other Zones.
(h) has an appropriately designed access to the road network and traffic generated by the development does not impact adversely on the State or local road network
The proposed development will utilise the existing access point onto the State-controlled Carnarvon Highway. The State Assessment and Referral Agency have assessed the application as a concurrence agency, and issued a response stating they have no requirements.
(i) protects areas and sites of conservation importance, including cultural and high landscape values
The site has not been identified as containing any areas of conservation importance.
(j) is undertaken in an orderly and logical sequence to achieve an efficient provision of infrastructure
The proposed development is temporary in nature and of a relatively small scale, therefore not representing out-of-sequence development. Matters relating to the provision of infrastructure can be appropriately addressed by way of conditions of development.
(k) is located and designed in ways that minimise the need for flood, bushfire and landslide mitigation and to protect people and premises from such natural events
Given the temporary nature of the activity, it is considered the development will not significantly increase exposure of persons and property to natural hazards.
(l) has water supply, stormwater disposal, sustainable effluent and waste disposal and power to appropriate standards adequate for the use
Matters relating to the provision of infrastructure can be appropriately addressed by way of conditions of development.
(m) does not impact adversely on infrastructure
The proposed development is a relatively small scale operation and will not impact adversely on infrastructure.
The Code’s relevant Performance Criteria are shown below, in order to more easily permit structured and detailed consideration of relevant issues—
Rural Zone Code
|
Performance Criteria |
Assessment responses |
|
A. A. For all the Rural Zone |
|
|
1. Infrastructure |
|
|
PC 1 Electricity Premises are provided with a supply of electricity adequate for the activity.
|
The existing dwelling house is connected to a reticulated power supply. The proposed development is to be provided with electricity by way of a diesel generator, and can be conditioned accordingly.
|
|
PC 2 Water Supply Premises are provided with an adequate volume and supply of water for the activity. |
The subject site is located within Council’s reticulated water supply system area. The provision of water supply can be appropriately addressed in the conditions of development.
|
|
PC 3 Effluent Disposal To ensure that public health and environmental values are preserved, all premises provide for the treatment and disposal of effluent and other waste water.
|
The proposal includes on-site effluent disposal, and can be included in the conditions of development.
|
|
PC 4 Stormwater/Inter-Allotment Drainage Stormwater is collected and discharged so as to: (a) protect the stability of buildings or the use adjacent land; (b) prevent the water-logging of nearby land; and (c) protect and maintain environmental values.
|
Matters relating to stormwater management can be appropriately addressed in the conditions of development. |
|
PC 5 Vehicle Access Vehicle access is provided to a standard appropriate for the use. |
The proposal includes utilising the existing vehicle access point onto the State-controlled Carnarvon Highway, and then utilising an internal road (unsealed, compacted surface construction).
Matters relating to vehicle access can be appropriately addressed in the conditions of development.
SARA assessed the application in relation to any impacts on the State-controlled road, and issued a concurrence agency response stating that they have no requirements.
|
|
PC 6 Parking and manoeuvring Vehicle parking and service vehicle provision is adequate for the use whilst ensuring both safe and functional operation for motorists and pedestrians. |
The proposal includes two (2) carparking spaces for the accommodation rooms, and allows for vehicles to enter and exit the site in a forward gear.
Given the size of the lot and the occupants of the five (5) rooms are intended to be driven to and from Injune Airport by a camp manager, it is considered that the number of parking spaces is sufficient. However the site should be able to cater for the standards listed in condition 25.
Matters relating to carparking and vehicle manoeuvring can be appropriately addressed in the conditions of development.
|
|
PC 7.1 Roads All weather road access is provided between the premises and the existing road network.
PC 7.2 Location Development must be located where there is convenient access.
|
The proposal includes an internal road, of unsealed, compacted surface construction. Given the relatively small scale nature of the activity, it is considered that the access arrangements are suitable.
Matters relating to the standard of construction of the internal road can be appropriately addressed in the conditions of development.
|
|
PC 8.1 Highways All Highways are maintained and enhanced as a link between major centres.
PC 8.2 Development adjacent to State Controlled Roads is located to ensure safe and efficient use of the highway and maintain the integrity of the highway as a commuter link
PC 8.3 Noise sensitive developments (residential, educational and community) must ensure that road traffic noise levels are appropriately managed to achieve acceptable levels of amenity.
|
The proposal includes utilising the existing vehicle access point onto the State-controlled Carnarvon Highway. SARA assessed the application in relation to any impacts on the State-controlled road, and issued a concurrence agency response stating they have no requirements.
The proposal is a relatively small scale development, providing for an appropriate buffer (minimum of 100m) from the State-controlled road.
|
|
PC 9 Gas and Oil Pipelines Buildings are located at an appropriate distance from pipelines to ensure community safety and operation of the use is not compromised.
|
N/A - The subject site is not located in close proximity to any gas or oil pipelines. |
|
PC 10 Refuse Tips and Effluent Treatment Plants Buildings are located at an appropriate distance from refuse tips or effluent treatment plants to ensure community safety and operation of the use is not compromised.
|
N/A - The subject site is not located in close proximity to any refuse tips or effluent treatment plants. |
|
PC 11.1 Rail Corridors Development is at an appropriate distance from the rail corridor so as not to prejudice safety, speed or intended role of the existing and proposed rail corridors.
PC 11.2 Development adjoining the rail corridor is protected from the impact of noise
|
N/A - The subject site is not located in close proximity to any rail corridor land.
|
|
PC 12 Electricity Transmission Line Easement – Vegetation Transmission lines within an Electricity transmission line easement are protected from vegetation.
|
N/A - The subject site is not located in close proximity to any electricity transmission line easement.
|
|
PC 13 Electricity Transmission Line Easement – Separation Distance Habitable buildings and community orientated uses are located a minimum distance from lines to ensure community safety. |
N/A - The subject site is not located in close proximity to any electricity transmission line easement.
|
|
2. Environment |
|
|
PC 14 Watercourses Development ensures the maintenance of riparian areas and water quality including protection from off-site transfer of sediment.
|
The subject site contains a creek running through the southern half of the site.
Matters relating to maintaining water quality can be appropriately addressed in the conditions of development.
|
|
PC 15 Flooding Premises are designed and located so as: (a) not to be adversely impacted upon by flooding; (b) to protect life and property; and (c) not to have an undesirable impact of the extent and magnitude of flooding.
|
Given the temporary nature of the activity, it is considered that the development will not significantly increase exposure to natural hazards. |
|
PC 16 Air Emissions Air emissions from premises do not cause environmental harm or nuisance to adjoining properties or sensitive land uses.
|
The proposal is a relatively small-scale, low-impact activity, and will not cause significant air emissions. |
|
PC 17 Noise Emissions Noise emissions from premises do not cause environmental harm or nuisance to adjoining properties or sensitive land uses.
|
The proposal is a relatively small-scale, low-impact activity, and will not cause significant noise emissions. |
|
PC 18 Water Quality The standard of effluent and/or stormwater runoff from premises ensures the quality of surface water is suitable for: (a) the biological integrity of aquatic ecosystems; (b) recreational use; (c) supply as drinking water after minimal treatment; (d) agricultural use; or (e) industrial use.
|
Matters relating to maintaining water quality can be appropriately addressed in the conditions of development.
|
|
PC 19 Excavation and Filling Excavation and filling of land ensures: (a) that both the amenity and safety of users of the site and adjacent land holdings; and (b) soil erosion is kept to a minimum with remedial works.
|
Matters relating to excavation and filling can be appropriately addressed in the conditions of development. |
|
PC 20 Construction Activities Both erosion control and silt collection measures are undertaken so as to ensure protection of environmental values during construction.
|
Matters relating to construction activities can be appropriately addressed in the conditions of development. |
|
PC 21 Separation of Incompatible land uses Separation distances are provided to ensure: (a) the future viability of surrounding uses; (b) infrastructure items are protected from incompatible development; (c) an appropriate standard of amenity and public safety; and (d) conflict arising from incompatible uses is minimised.
|
The proposal is for a relatively small scale, low-impact activity, and temporary in nature. The proposal is appropriately located within a rural lot in close proximity to the town of Injune and the Injune Aerodrome.
|
|
PC 22.1 Development in the Vicinity of airports: Development in the vicinity of Airports: (a) does not adversely affect the operation of the airport; (b) is designed and located to achieve a suitable standard of amenity for the proposed activity; and (c) does not restrict future operational demands of the airport.
PC 22.2 Airport Protection The development of premises does not cause an obstruction or other potential hazard to aircraft movement associated with the airport by way of: - the physical intrusion of buildings or other structures into the Obstacle Limitation Surfaces; - attracting birds and or bats to the area which could cause or contribute to bird strike hazard; - providing very bright lighting or lighting similar to aerodrome lighting, which can distract or confuse aircraft pilots; - interfering with navigation or communication facilities; - emissions that may effect pilot visibility or aircraft operations; or - transient intrusions into the airport’s operational space.
|
The subject site adjoins the Injune Aerodrome (located to the north of the site).
The proposed development is appropriately designed, with no building or structure exceeding 7.5m in height. |
|
PC 23 Good Quality Agricultural Land Good Quality Agricultural Land areas as identified in Map R2 – Good Quality Agricultural Land are conserved and managed for the longer term and protected from development that may lead to its alienation or diminished productivity.
|
The site is mapped as GQAL. The proposed development will be operated within a relatively small section of the site and will not adversely impact on the ability of the balance area to be used for agricultural purposes. Further, the development will be conditioned with a 10 year time limit.
|
|
PC 24 Vegetation Retention Development retains vegetation for the: (a) protection of scenic quality; (b) protection of general habitat; (c) protection of soil quality; and (d) establishment of open space corridors and networks
|
The site has not been identified as containing any significant vegetation. The proposal includes minimal clearing.
|
|
PC 25 Protected Areas Development is undertaken to ensure areas of significant biodiversity and habitat value are protected.
|
The site has not been identified as a protected area.
|
|
PC 26 Sloping Land Development is undertaken to ensure: (a) vulnerability to landslip erosion and land degradation is minimised; and (b) safety of persons and property is not compromised
|
The proposal is not located on significantly sloping land. |
|
PC 27 Bushfire Hazard Area Development maintains the safety of people and property by avoiding areas of High or Medium Bushfire hazard or mitigating the risk through: (a) the siting of buildings ensuring setbacks from hazardous vegetation are maximised and elements least susceptible to fire are sited closest to the bushfire hazard; and (b) the provision of firebreaks to ensure adequate setbacks between buildings, structures and hazardous vegetation
|
The site has not been identified as a bushfire hazard area.
|
|
PC 28 Buildings of Significance The architectural merit and precinct value of cultural heritage items listed in Schedule 10 is maintained.
|
N/A – The site is not located in close proximity to any cultural heritage areas. |
|
PC 29 Cultural Heritage The significance of known places of indigenous and/or cultural heritage value is retained.
|
N/A – The site is not located in close proximity to any cultural heritage areas.
|
|
PC 30 Character Buildings Development adjacent to buildings identified as heritage or character buildings in Schedule 10 incorporates design features, materials and details that blend with the existing character.
|
N/A – The site is not located in close proximity to any character buildings. |
|
PC 31 Residential Outbuildings Rural amenity is to be maintained. |
N/A – The proposal does not include any residential outbuildings.
|
|
PC 32 Buffers Adequate buffers are provided to protect rural residential uses from agricultural, transport and industrial activities whilst also ensuring the integrity and viability of such uses. |
The proposal is suitably located within a rural lot in close proximity to the town of Injune, and provides for suitable buffers from adjoining activities.
|
|
Specific Land Uses |
|
|
PC 33 – Catteries and Kennels |
N/A – The proposed development is for non-resident workforce accommodation.
|
|
PC 34-37 – Commercial Premises |
N/A – The proposed development is for non-resident workforce accommodation.
|
|
PC 38-42 – Community and Recreation |
N/A – The proposed development is for non-resident workforce accommodation.
|
|
PC 43-45 – Dwelling House |
N/A – The proposed development is for non-resident workforce accommodation.
|
|
PC 46-49 - Forestry |
N/A – The proposed development is for non-resident workforce accommodation.
|
|
PC 50-52 – Home Based Business |
N/A – The proposed development is for non-resident workforce accommodation.
|
|
PC 53-56 – Host Home Accommodation |
N/A – The proposed development is for non-resident workforce accommodation.
|
|
PC 57-62 – Industry (Low/Medium) |
N/A – The proposed development is for non-resident workforce accommodation.
|
|
PC 63– Telecommunication Facility |
N/A – The proposed development is for non-resident workforce accommodation.
|
|
PC 64 – 67 Temporary Worker’s Accommodation |
|
|
PC 64 The use should ensure high levels of fire safety. |
Matters relating to fire safety can be appropriately addressed in the conditions of development.
|
|
PC 65 Road Access Council road network is not unduly affected by the establishment of the camp. |
The proposal is for a relatively small-scale activity, consisting of five (5) bedrooms, and therefore it is considered that any impact on the road network will be minimal.
|
|
PC 66 Separation Distance The establishment of the camp does not unduly affect existing residential premises |
The proposed accommodation buildings are not located within 30m of the existing dwelling house or within 15m of the roadway.
|
|
PC 67.1 Amenity The camp buildings, layout and construction do not substantially detract from the amenity of the neighbourhood. |
The proposed buildings are suitably located 3m apart, and do not occupy more than 30% of the site area.
The proposal includes two (2) carparking spaces.
Given that the occupants of the five (5) rooms are intended to be driven to and from Injune Airport by a camp manager, it is considered that the number of parking spaces is sufficient. However the site should be able to cater for the standards listed in condition 17.
Matters relating to carparking and vehicle manoeuvring can be appropriately addressed in the conditions of development.
|
|
PC 67.2 Location Development must be located where there is convenient access.
|
Matters relating to vehicle access can be appropriately addressed in the conditions of development.
|
|
PC 68-71 – Tourist Facility |
N/A – The proposed development is for non-resident workforce accommodation.
|
Submissions
The development application was publically notified between 23 September 2013 and 15 October 2013, and no properly made submissions were received.
Other assessment issues
Approval for Building Works will be required.
The State Assessment & Referral Agency as a Concurrence Agency for the development have carried out an assessment in relation to potential impacts on State-controlled road infrastructure, and have issued a response (dated 20 August 2013) stating they have no requirements (refer to Attachment 3).
|
Body of Report |
1.0 Background information
The proposed development is for “Extractive Industry”, involving dredging of materials (sand) from a creek (Sandy Creek), between 1,000 – 10,000 tonnes per annum. The proposed working areas (approximately 100m x 100m each), will be located at various sites along the creek (situated within approximately 50m of the creek bank).
The activity requires a maximum of five (5) employees on-site at any one time. The proposed hours of operation are eight (8) hours per day, six (6) days a week. The activity involves a front end loader, excavator, and three trucks (one being a semi-trailer). The activity does not require any permanent buildings or structures.
The estimated haul frequency (utilising a “truck and dog”) is seven (7) loads per week. The site access is via Nareeton Road. The anticipated haul route is south from the site to the town of Roma along Nareeton and Orallo Roads, including a portion of the Warrego Highway within Roma.
The closest sensitive receptors include two houses located within the subject site (situated approximately 150m from the creek) and a house located on the lot immediately to the south (situated approximately 1,200m from the closest work area).
The applicant has provided a Site Based Management Plan, dated July 2013, prepared by Brandon & Associates Pty Ltd.
The development application was publically notified between 20/9/13 to 14/10/13, and no properly made submissions were received.
The State Assessment & Referral Agency as a Concurrence Agency for the development has carried out an assessment in relation the ERA permit, the removal of quarry material and any potential impacts on road infrastructure, and have issued conditions of development (refer to Attachment 3).
2.0 Definition of use and assessment status - the premises – locality and zoning
The proposed use is defined as an "Extractive Industry" in the Bungil Shire Planning Scheme 2006 which is described as follows:
"Extractive Industry" means any premises used for the winning or treatment on the land or on adjacent land, of gravel, rock, sand, soil, stone, or other similar materials. The term does not include the removal of materials authorised by Section 106(1) of the Local Government Act 1993, or mining within the meaning of the Mineral Resources Act 1989. Transport Infrastructure Act – extraction of material from roadway.
The proposed use also constitutes “Environmentally Relevant Activity 16(1)(a) - Extractive and Screening Activities” under the Environmental Protection Action 1994, defined as follows:
Extractive and screening activities consists of dredging a total of 1000t or more of material from a bed or naturally occurring surface waters, in a year.
Threshold 1(a): dredging, in a year, the following quantity of material -1,000t to 10,000t.
“Material” includes clay, gravel, loam, rock, sand and other substance found in the earth.
The site is situated at “Mt Eden” 767 Nareeton Road, Orallo QLD 4455, described as Lot 9 on WV1653, Lot 1 on WAL53280, Lot 3 on WAL53282 and Lot 2 on WAL53666 (refer Figure 1 - Locality Plan, and Figure 2 – Site Boundaries).

Figure 1 - Locality Plan Source: Whereis 2013

|
||||||||
|
||||||||
|
||||||||
|
||||||||
Figure 2 – Site Boundaries Source: Queensland Atlas 2013
The site is situated in the Rural Zone of the Bungil
Shire Planning Scheme 2006 (refer Figure 3 - Zoning).
Figure 3 - Zoning Source: Bungil Shire Planning Scheme 2006
The site contains two dwelling houses (situated within approximately 150m of the creek). The surrounding land uses are predominantly rural grazing land and homesteads (the closest being approximately 1,200m south of the proposed working area). Nareeton Road intersects the western half of the subject lots (refer Figure 4 - Aerial Photograph).

|
|||||||||
|
|||||||||
|
|||||||||
House Nareeton Rd
Figure 4 - Aerial Photograph Source:
Google Earth 2012
3.0 Assessment against the planning scheme
Impact assessment
This application is subject to Impact Assessment and is assessed against the relevant provisions of the planning scheme, including any relevant codes. The provisions of the Sustainable Planning Act 2009 [SPA] may be summarized: s313 provides that the assessment manager must carry out the impact assessment having regard to—
(a) the State planning regulatory provisions;
(b) the regional plan for a designated region, to the extent it is not identified in the planning scheme as being appropriately reflected in the planning scheme;
(c) any applicable codes, other than concurrence agency codes the assessment manager does not apply, that are identified as a code for IDAS under this or another Act;
(d) State planning policies, to the extent the policies are not
(i) any relevant regional plan as being appropriately reflected in the regional plan; or
(ii) the planning scheme as being appropriately reflected in the planning scheme;
(e) any applicable codes in the following instruments—
(i) a structure plan;
(ii) a master plan;
(iii) a temporary local planning instrument;
(iv) a preliminary approval to which section 242 applies;
(v) a planning scheme;
(f) if the assessment manager is an infrastructure provider—the priority infrastructure plan.
There is no conflict with these provisions of the Sustainable Planning Act 2009.
Proposed use, with conditions, is not in conflict with planning scheme
Although the planning scheme requires that the proposed development is assessed against the Impact Assessable provisions of the planning scheme, the development proposed does not conflict with the intent of the planning scheme for the zone in which it is to be located.
Desired Environmental Outcomes
The Desired Environmental Outcomes (DEOs) are based on ecological sustainability established by IPA and are the basis for the measures of the planning scheme. Compliance is outlined below:
(a) Environment
(i) The areas of high scenic amenity, remnant vegetation, wetlands, fauna habitats and wildlife corridors and regionally significant open space in the Shire are protected.
Any environmental impacts can be appropriately controlled by way of the mitigation measures detailed in the Site Based Management Plan, and by way of conditions of development.
(ii) Places, areas or sites identified as being susceptible to land degradation, including contamination, erosion, salinity and landslip, are protected and further degradation is minimised.
The proposed activity can only be carried out when weather and site conditions are suitable (predominantly dry). Any environmental impacts in terms of land degradation can be appropriately controlled by way of the mitigation measures detailed in the Site Based Management Plan, and by way of conditions of development.
(iii) Ecological sustainability is achieved by maintaining and improving biodiversity, water and air quality.
Any environmental impacts in terms of ecological sustainability, in particular in terms of maintaining water quality, can be appropriately controlled by way of the mitigation measures detailed in the Site Based Management Plan, and by way of conditions of development.
(iv) Places of historical and indigenous cultural heritage and social significance are protected, maintained and enhanced.
The site is not identified as being in proximity to a place of historical, cultural or social significance.
(b) Economic
(i) Good Quality Agricultural Land is protected as a major economic resource for the region.
Portions of the site (north, west) are identified as containing GQAL. The proposed development represents a resource which is predominantly located within rural areas. The proposed development will be operated within relatively small sections of the site and will not adversely impact on the ability of the balance area to be used for agricultural purposes.
(ii) Key Resource Areas, extractive resources, petroleum, gas and mineral resources are protected as a major economic resource for the region.
The proposed development includes an extractive industry use, being dredging material (sand) from a creek, for civil construction purposes. The proposed development will contribute to the economic growth of the region.
(iii) Industry, business and employment opportunities are improved and appropriately located to service the community and region, and encourage economic activity within the local area.
The proposed development includes an extractive industry use, being dredging material (sand) from a creek, for civil construction purposes. The proposed development is appropriately located, and will contribute to the economic growth of the region.
(iv) Rural business opportunities are improved to protect and value-add to the existing rural based economy.
The proposed development will improve local business opportunities to protect and value-add to the existing rural based economy.
(c) Community Well-Being & Lifestyle
(i) A convenient access to roads and services is achieved through well located land uses and the efficient use and timely provision of infrastructure such as water, sewerage and roads walkways and cycling facilities.
The proposed development will gain vehicle access to the existing road network via Nareeton Road. The development site is located outside of the water and sewerage infrastructure service networks and will not require reticulated electricity supply due to the mobile nature of the activity.
(ii) Rural residential and urban residential development occurs in distinct localities that provide a sense of community, amenity, services, and a safe, affordable living environment, whilst maintaining rural amenity.
The proposed development is for an extractive industry.
(iii) Infrastructure networks such as road, rail, water cycle and electricity are protected from encroachment by sensitive land uses which may adversely affect or limit the normal operation of that infrastructure.
The proposed development is not considered to be a sensitive land use and will not adversely impact on the current or future operations of established infrastructure networks.
(iv) The role and identity of Injune as the main business and community centre of the shire is consolidated.
The proposed development will not prejudice the role or identity of Injune.
(v) The adverse effects from natural and other hazards, including bushfires are minimised.
Given the temporary nature of the activity, permanent buildings and structures are not required. Therefore any adverse effects from natural hazards are considered minimal and can be appropriately mitigated.
(vi) The range of housing types, services and facilities meets the needs of the community and other uses.
The proposed development is for a low-impact extractive industry, suitably located within the Rural Zone, and will not affect housing types within the region.
Overall Outcomes for Rural Zone Code
The Rural Zone Code identifies overall outcomes providing direction about relevant assessment issues. The overall outcomes for the Rural Zone Code are the purpose of the code. The code seeks to ensure that development within the Rural Zone:
(a) reflects the economic potential of the rural area
The proposed development is for an extractive industry, and will enhance the economic potential of the rural area.
(b) is appropriately located within the Rural Zone and existing and future Rural Activities are not prejudiced by inappropriate development
The proposed development consists of a relatively low-impact extractive industry. Any environmental impacts can be appropriately controlled by way of the mitigation measures detailed in the Site Based Management Plan, and by way of conditions of development.
(c) maintains the environment, including soil, air and water, compatible with healthy natural systems and ensures public health and safety
Any environmental impacts can be appropriately controlled by way of the mitigation measures detailed in the Site Based Management Plan, and by way of conditions of development.
(d) protects Good Quality Agricultural (GQAL) from fragmentation, alienation or encroachment of incompatible land uses in accordance with State Planning Policy 1/92 – “Development and Conservation of Agricultural Land”
Portions of the site (north, west) are identified as containing GQAL. The proposed development represents a resource which is predominantly located within rural areas. The proposed development will be operate within two relatively small sections of the site and will not adversely impact on the ability of the balance area to be used for agricultural purposes.
(e) is located, designed and operated in a manner that protects and enhances the predominant rural scale, intensity, form and character
The proposed development consists of a relatively small scale operation, in keeping the intensity, form and character of the locality.
(f) maintains the rural amenity
Any environmental and amenity impacts can be appropriately controlled by way of mitigation measures detailed in the Site Based Management Plan, and by way of conditions of development.
(g) does not prejudice or impact adversely on other uses including those within other Zones
The proposed development will be located within relatively small areas within the site. It is considered that subject to the recommended conditions of approval, the proposed development will not prejudice or adversely impact on other uses, including established uses within other Zones.
(h) has an appropriately designed access to the road network and traffic generated by the development does not impact adversely on the State or local road network
The proposed development has access to Nareeton Road, and can be appropriately conditioned to require upgrade of vehicle access and road infrastructure, where necessary.
(i) protects areas and sites of conservation importance, including cultural and high landscape values
Matters relating to environmental impacts have been assessed by the SARA, who have issued conditions of development.
(j) is undertaken in an orderly and logical sequence to achieve an efficient provision of infrastructure
The proposed development does not prejudice the efficient provision of infrastructure.
(k) is located and designed in ways that minimise the need for flood, bushfire and landslide mitigation and to protect people and premises from such natural events
The site is identified as containing a small area of medium bushfire hazard risk. Given the nature of the development, it is considered that there is minimal risk to either people or property. Hazard mitigation can be appropriately addressed by way of conditions of development
(l) has water supply, stormwater disposal, sustainable effluent and waste disposal and power to appropriate standards adequate for the use
The development does not require effluent disposal or electricity supply due to the mobile nature of the use. On-site water supply can be required as a condition of development, where necessary.
(m) does not impact adversely on infrastructure
Any impacts on infrastructure can be appropriately addressed by way of conditions of development.
The Code’s relevant Performance Criteria are shown below, in order to more easily permit structured and detailed consideration of relevant issues—
Rural Zone Code
|
Performance Criteria |
Assessment responses |
|
A. A. For all the Rural Zone |
|
|
1. Infrastructure |
|
|
PC 1 Electricity Premises are provided with a supply of electricity adequate for the activity.
|
Given the nature of the use, the development does not require a permanent electricity supply. |
|
PC 2 Water Supply Premises are provided with an adequate volume and supply of water for the activity. |
Conditions of approval will require the provision of onsite water supply with sufficient capacity to meet operational needs. |
|
PC 3 Effluent Disposal To ensure that public health and environmental values are preserved, all premises provide for the treatment and disposal of effluent and other waste water. |
Given the nature of the use, the development does not require a permanent effluent disposal system.
|
|
PC 4 Stormwater/Inter-Allotment Drainage Stormwater is collected and discharged so as to: (a) protect the stability of buildings or the use adjacent land; (b) prevent the water-logging of nearby land; and (c) protect and maintain environmental values. |
Matters relating to stormwater management can be appropriately addressed in the conditions of development. |
|
PC 5 Vehicle Access Vehicle access is provided to a standard appropriate for the use. |
The proposed vehicle access is via Nareeton Road.
The design and construction of vehicle access and any internal roads, and upgrades (where required) of the local road network will be part of the conditions of development.
|
|
PC 6 Parking and manoeuvring Vehicle parking and service vehicle provision is adequate for the use whilst ensuring both safe and functional operation for motorists and pedestrians. |
Given that the site consists of relatively large rural lots, it is considered that designated parking spaces are not required.
|
|
PC 7.1 Roads All weather road access is provided between the premises and the existing road network.
PC 7.2 Location Development must be located where there is convenient access.
|
Given the nature of the activity (i.e. dredging sand from a creek), the operation can only be undertaken during dry weather conditions.
The design and construction of vehicle access and any internal roads, and upgrades (where required) of the local road network will be part of the conditions of development.
|
|
PC 8.1 Highways All Highways are maintained and enhanced as a link between major centres.
PC 8.2 Development adjacent to State Controlled Roads is located to ensure safe and efficient use of the highway and maintain the integrity of the highway as a commuter link
PC 8.3 Noise sensitive developments (residential, educational and community) must ensure that road traffic noise levels are appropriately managed to achieve acceptable levels of amenity.
|
The subject site is not located in close proximity to a State-controlled road, and the proposed haulage route includes only a relatively small distance along the Warrego Highway in Roma.
The development does not include any new sensitive receptors. |
|
PC 9 Gas and Oil Pipelines Buildings are located at an appropriate distance from pipelines to ensure community safety and operation of the use is not compromised.
|
N/A - The development does not involve any buildings in proximity any gas or oil pipelines. |
|
PC 10 Refuse Tips and Effluent Treatment Plants Buildings are located at an appropriate distance from refuse tips or effluent treatment plants to ensure community safety and operation of the use is not compromised.
|
N/A - The subject site is not located in close proximity to any refuse tips or effluent treatment plants. |
|
PC 11.1 Rail Corridors Development is at an appropriate distance from the rail corridor so as not to prejudice safety, speed or intended role of the existing and proposed rail corridors.
PC 11.2 Development adjoining the rail corridor is protected from the impact of noise
|
N/A - The subject site is not located in close proximity to any rail corridor land.
|
|
PC 12 Electricity Transmission Line Easement – Vegetation Transmission lines within an Electricity transmission line easement are protected from vegetation.
|
N/A - The subject site is not located in close proximity to any electricity transmission line easement.
|
|
PC 13 Electricity Transmission Line Easement – Separation Distance Habitable buildings and community orientated uses are located a minimum distance from lines to ensure community safety.
|
N/A - The subject site is not located in close proximity to any electricity transmission line easement.
|
|
2. Environment |
|
|
PC 14 Watercourses Development ensures the maintenance of riparian areas and water quality including protection from off-site transfer of sediment.
|
The proposal can be appropriately conditioned to ensure that the proposed dredging within Sandy Creek is carried out in accordance with relevant standards.
DEHP have assessed the extractive industry and imposed conditions of approval. |
|
PC 15 Flooding Premises are designed and located so as: (a) not to be adversely impacted upon by flooding; (b) to protect life and property; and (c) not to have an undesirable impact of the extent and magnitude of flooding.
|
N/A - The proposed activity does not include any permanent structures. |
|
PC 16 Air Emissions Air emissions from premises do not cause environmental harm or nuisance to adjoining properties or sensitive land uses.
|
Matters relating to any air emissions can appropriately controlled by way of the mitigation measures detailed in the Site Based Management Plan, and by way of conditions of development
Note: SARA have assessed the environmental impacts and issued concurrence agency conditions of development.
|
|
PC 17 Noise Emissions Noise emissions from premises do not cause environmental harm or nuisance to adjoining properties or sensitive land uses.
|
Matters relating to any noise emissions can appropriately controlled by way of the mitigation measures detailed in the Site Based Management Plan, and by way of conditions of development
Note: SARA have assessed the environmental impacts and issued concurrence agency conditions of development.
|
|
PC 18 Water Quality The standard of effluent and/or stormwater runoff from premises ensures the quality of surface water is suitable for: (a) the biological integrity of aquatic ecosystems; (b) recreational use; (c) supply as drinking water after minimal treatment; (d) agricultural use; or (e) industrial use.
|
Matters relating to maintaining water quality can appropriately controlled by way of the mitigation measures detailed in the Site Based Management Plan, and by way of conditions of development
Note: SARA have assessed the environmental impacts and issued concurrence agency conditions of development.
|
|
PC 19 Excavation and Filling Excavation and filling of land ensures: (a) that both the amenity and safety of users of the site and adjacent land holdings; and (b) soil erosion is kept to a minimum with remedial works.
|
Matters relating to excavation and filling can be appropriately addressed in the conditions of development. |
|
PC 20 Construction Activities Both erosion control and silt collection measures are undertaken so as to ensure protection of environmental values during construction.
|
N/A – The proposed development does not involve any building works. |
|
PC 21 Separation of Incompatible land uses Separation distances are provided to ensure: (a) the future viability of surrounding uses; (b) infrastructure items are protected from incompatible development; (c) an appropriate standard of amenity and public safety; and (d) conflict arising from incompatible uses is minimised. |
The “sensitive receptors” within proximity of the development, include two dwellings (located within the subject site) situated within approximately 150m of the creek, and a dwelling on the property immediately to the south, situated approximately 1,200m to the closest work area.
Given that the proposed development consists of a relatively low-impact extractive industry, any impacts on the amenity of the sensitive receptors can be appropriately mitigated through the measures detailed in the Site Based Management Plan and the conditions of development.
Further, it is noted that the two dwellings located within 150m of the creek, are both situated within the subject site, thereby making the land owner a stakeholder in the proposed development.
|
|
PC 22.1 Development in the Vicinity of airports: Development in the vicinity of Airports: (a) does not adversely affect the operation of the airport; (b) is designed and located to achieve a suitable standard of amenity for the proposed activity; and (c) does not restrict future operational demands of the airport.
PC 22.2 Airport Protection The development of premises does not cause an obstruction or other potential hazard to aircraft movement associated with the airport by way of: - the physical intrusion of buildings or other structures into the Obstacle Limitation Surfaces; - attracting birds and or bats to the area which could cause or contribute to bird strike hazard; - providing very bright lighting or lighting similar to aerodrome lighting, which can distract or confuse aircraft pilots; - interfering with navigation or communication facilities; - emissions that may effect pilot visibility or aircraft operations; or - transient intrusions into the airport’s operational space.
|
N/A - The subject site is not located within close proximity of any airports. |
|
PC 23 Good Quality Agricultural Land Good Quality Agricultural Land areas as identified in Map R2 – Good Quality Agricultural Land are conserved and managed for the longer term and protected from development that may lead to its alienation or diminished productivity.
|
Portions of the site (north, west) are identified as containing GQAL. The proposed development represents a resource which is predominantly located within rural areas. The proposed development will be operated within relatively small sections of the site and will not adversely impact on the ability of the balance area to be used for agricultural purposes.
|
|
PC 24 Vegetation Retention Development retains vegetation for the: (a) protection of scenic quality; (b) protection of general habitat; (c) protection of soil quality; and (d) establishment of open space corridors and networks
|
The proposed development involves minimal vegetation clearing within the riparian area. SARA have assessed the environmental impacts and issued concurrence agency conditions of development.
|
|
PC 25 Protected Areas Development is undertaken to ensure areas of significant biodiversity and habitat value are protected.
|
SARA have assessed the environmental impacts and issued concurrence agency conditions of development.
|
|
PC 26 Sloping Land Development is undertaken to ensure: (a) vulnerability to landslip erosion and land degradation is minimised; and (b) safety of persons and property is not compromised
|
Matters relating to minimising any land degradation can be appropriately addressed in the conditions of development. |
|
PC 27 Bushfire Hazard Area Development maintains the safety of people and property by avoiding areas of High or Medium Bushfire hazard or mitigating the risk through: (a) the siting of buildings ensuring setbacks from hazardous vegetation are maximised and elements least susceptible to fire are sited closest to the bushfire hazard; and (b) the provision of firebreaks to ensure adequate setbacks between buildings, structures and hazardous vegetation
|
The site is identified as containing a small area of medium bushfire hazard risk. Given the nature of the development, it is considered that there is minimal risk to either people or property. Hazard mitigation can be appropriately addressed in the conditions of development
|
|
PC 28 Buildings of Significance The architectural merit and precinct value of cultural heritage items listed in Schedule 10 is maintained.
|
N/A – The site is not located in close proximity to any cultural heritage items.
|
|
PC 29 Cultural Heritage The significance of known places of indigenous and/or cultural heritage value is retained. |
N/A – The site is not located in close proximity to any known areas of indigenous and/or cultural heritage significance.
|
|
PC 30 Character Buildings Development adjacent to buildings identified as heritage or character buildings in Schedule 10 incorporates design features, materials and details that blend with the existing character.
|
N/A – The site is not located in close proximity to any character buildings. |
|
PC 31 Residential Outbuildings Rural amenity is to be maintained. |
N/A – The proposal does not include any residential outbuildings.
|
|
PC 32 Buffers Adequate buffers are provided to protect rural residential uses from agricultural, transport and industrial activities whilst also ensuring the integrity and viability of such uses. |
The “sensitive receptors” within proximity of the development, include two dwellings (located within the subject site) situated within approximately 150m of the activity, and a dwelling on the property immediately to the south, situated approximately 1,200m to the closest work area.
Given that the proposed development consists of a relatively low-impact extractive industry, any impacts on the amenity of the sensitive receptors can be appropriately mitigated through the measures detailed in the Site Based Management Plan and the conditions of development.
Further, it is noted that the two dwellings located within 150m of the activity, are both situated within the subject site, thereby making the land owner a stakeholder in the proposed development.
|
|
Specific Land Uses |
|
|
PC 33 – Catteries and Kennels |
N/A – The proposed development is for Extractive Industry |
|
PC 34-37 – Commercial Premises |
N/A – The proposed development is for Extractive Industry |
|
PC 38-42 – Community and Recreation |
N/A – The proposed development is for Extractive Industry |
|
PC 43-45 – Dwelling House |
N/A – The proposed development is for Extractive Industry |
|
PC 46-49 - Forestry |
N/A – The proposed development is for Extractive Industry |
|
PC 50-52 – Home Based Business |
N/A – The proposed development is for Extractive Industry |
|
PC 53-56 – Host Home Accommodation |
N/A – The proposed development is for Extractive Industry |
|
PC 57-62 – Industry (Low/Medium) |
N/A – The proposed development is for Extractive Industry |
|
PC 63-67 – Telecommunication Facility |
N/A – The proposed development is for Extractive Industry |
|
PC 68-71 – Tourist Facility |
N/A – The proposed development is for Extractive Industry |
Submissions
No submissions were received by Council during the public notification period (20/9/13 to 14/10/13).
Other assessment issues
The State Assessment & Referral Agency response, dated 30 August 2013, includes conditions which form part of the approval (refer Attachment 3).
|
Body of Report |
1.0 Background information
The proposed development is for a Service Station, specifically being an unmanned refuelling facility. The development will also involve a 1 into 2 lot subdivision and ERA 8 – Chemical Storage, associated with the storage of petrol on-site as part of the Service Station use.
The refuelling station will be located on proposed Lot 2. The refuelling station will involve a 105,000 litre above-ground self-serve diesel dispenser. All structures on-site will be limited to 7.5m above ground level.
The site will gain access from a 17.5m wide crossover to Airport Road located within proposed Lot 1. Egress from the site will be obtained from Lot 2 via an 11m wide driveway crossover to Airport Road. An easement over the driveway area of proposed Lot 1 will be required as a condition of development, to ensure appropriate access and manoeuvring arrangements can be achieved for the Service Station.
Access to or from the site from the Carnarvon Highway is not permitted for the development.
The Department of Transport and Main Roads (DTMR) are a concurrence agency for the proposed development. DTMR imposed conditions of development approval for the proposed use, contained in Attachment 2.
The applicant has provided Proposal Plans in support of the proposed development.
2.0 Definition of use and assessment status - the premises – locality and zoning
The proposed use is defined as "Service Station" in the Bungil Shire Council Planning Scheme 2006 which is described as follows:
“Service Station” means any premises used for the sale by retail of petrol and automotive distillate or any derivatives, capable of use in internal combustion engines; and for all or any of the following purposes, namely:
(i) The fuelling of motor vehicles involving the sale by retail of motor fuel;
(ii) The following activities when carried out in connection with the fuelling of motor vehicles:
(a) the sale by retail of petroleum products, automotive parts and accessories and goods for the comfort and convenience of travellers; and
(b) the servicing and minor repairs of motor vehicles.
The term does not include Shop or Industry.
The site is situated at 1-7 Airport Road, Injune QLD 4454 and described as Lot 1 on SP132317 (refer Figure 1 - Locality Plan).

Figure 1 - Locality Plan Source: Google Maps 2013
The site is situated in the Industrial Precinct of the Town Zone of the Bungil Shire Council Planning Scheme 2006 (refer Figure 2 - Zoning).

Figure 2 - Zoning Source: Bungil Shire Planning Scheme 2006
The site is vacant and adjoins the Injune Airport to the west. Further to the north of the site, on Airport Drive are established industry and warehouse/storage activities. The site adjoins the Carnarvon Highway to the east. (refer Figure 3 - Aerial Photograph).

Figure 3 - Aerial Photograph Source: Google Maps 2013
3.0 Assessment against the planning scheme
Impact assessment
This application is subject to Impact Assessment and is assessed against the relevant provisions of the planning scheme, including any relevant codes. The provisions of the Sustainable Planning Act 2009 [SPA] may be summarized: s313 provides that the assessment manager must carry out the impact assessment having regard to—
(a) the State planning regulatory provisions;
(b) the regional plan for a designated region, to the extent it is not identified in the planning scheme as being appropriately reflected in the planning scheme;
(c) any applicable codes, other than concurrence agency codes the assessment manager does not apply, that are identified as a code for IDAS under this or another Act;
(d) State planning policies, to the extent the policies are not
(i) any relevant regional plan as being appropriately reflected in the regional plan; or
(ii) the planning scheme as being appropriately reflected in the planning scheme;
(e) any applicable codes in the following instruments—
(i) a structure plan;
(ii) a master plan;
(iii) a temporary local planning instrument;
(iv) a preliminary approval to which section 242 applies;
(v) a planning scheme;
(f) if the assessment manager is an infrastructure provider—the priority infrastructure plan.
There is no conflict with these provisions of the Sustainable Planning Act 2009.
Proposed use is in conflict with planning scheme
Although the planning scheme requires that the proposed development is assessed against the Impact Assessable provisions of the planning scheme, the development proposed does not conflict with the intent of the planning scheme for the zone in which it is to be located.
Desired Environmental Outcome
The Desired Environmental Outcomes (DEOs) are based on ecological sustainability established by IPA and are the basis for the measures of the planning scheme. Compliance is outlined below:
(a) Environment
(i) The areas of high scenic amenity, remnant vegetation, wetlands, fauna habitats and wildlife corridors and regionally significant open space in the town are protected.
The proposed development will not result in the removal of any vegetation, or impact on any other environmentally significant areas, including wetlands, habitats, corridors and open spaces.
(ii) Places, areas or sites identified as being susceptible to land degradation, including contamination, erosion, salinity and landslip, are protected and further degradation is minimised.
The site is not identified as being susceptible to land degradation.
(iii) Ecological sustainability is achieved by maintaining and improving biodiversity, water and air quality.
The proposed development does not involve the removal of vegetation and will not adversely impact on water or air quality or adversely impact on the biodiversity of the area.
(iv) Places of historical and indigenous cultural heritage and social significance are protected, maintained and enhanced.
The subject site is not identified as being in proximity to, or a place of, historical, cultural or social significance.
(b) Economic
(i) Good Quality Agricultural Land is protected as a major economic resource for the region.
(ii) Key Resource Areas, extractive resources, petroleum, gas and mineral resources are protected as a major economic resource for the region.
(iii) Industry, business and employment opportunities are improved and appropriately located to service the community and region, and encourage economic activity within the local area.
(iv) Rural business opportunities are improved to protect and value-add to the existing rural based economy.
The proposed development will support regional industry and business opportunities by providing a refuelling station primarily for road trains and other large freight vehicles.
(c) Community Well-Being & Lifestyle
(i) A convenient access to roads and services is achieved through well located land uses and the efficient use and timely provision of infrastructure such as water, sewerage and roads walkways and cycling facilities.
The proposed development is located in an existing industrial area in proximity to the airport. Provision of services and infrastructure will be required as a condition of approval.
(ii) Rural residential and urban residential development occurs in distinct localities that provide a sense of community, amenity, services, and a safe, affordable living environment, whilst maintaining rural amenity.
The proposed development is for a Service Station in the Industrial Precinct and will not impact on the location of residential activities in the intended locations.
(iii) Infrastructure networks such as road, rail, water cycle and electricity are protected from encroachment by sensitive land uses which may adversely affect or limit the normal operation of that infrastructure.
The proposed development is for a Service Station and is not a sensitive land use.
(iv) The adverse effects from natural and other hazards, including bushfires are minimised.
The site is not subject to natural or other hazards.
(v) The range of housing types, services and facilities meets the needs of the community and other uses.
The proposal is for a Service Station and Reconfiguration of a Lot (1 into 2 lots) and will not affect the range of housing types in the town.
(vi) The range of housing types, services and facilities meets the needs of the community and other uses.
The proposed development is not for a residential use and is not located in a residential area.
Overall Outcomes for Town Zone Code
The Town Zone Code identifies overall outcomes providing direction about relevant assessment issues. The overall outcomes for the Town Zone Code are the purpose of the code. The code seeks to ensure that development within the Town Zone:
(a) is focused in Injune for a range of business, industrial, tourist, community and recreational activity in the local government area;
The proposed development is for a use that will support the expansion of business and industrial activity in the local government area.
(b) protects the rural and heritage character and amenity of the Town Zone;
The proposed development is for a Service Station in the Industrial Precinct, located to the south of the Injune township. The proposed development will not impact on the rural and heritage character of land within the town zone.
(c) provides safe and convenient access for pedestrians and cyclists;
The proposed development is for an unmanned refuelling station. It is not anticipated that the facility will be utilised by pedestrians and cyclists.
(d) has no adverse impact on Good Quality Agricultural Land;
Although the town of Injune is mapped as being Good Quality Agricultural Land, the subject site is located within the Town Zone and is not considered to be suitable to support grazing or other rural activities. It is therefore considered that the proposed development will not adversely impact on Good Quality Agricultural Land.
(e) for residential uses to occur in areas where it is most cost effective to supply physical infrastructure, such as water, sewerage, roads and electricity;
The site is serviced by physical infrastructure, such as water, roads and electricity.
(f) is located, designed and operated in a manner that protects and enhances commercial scale, intensity, form and character;
The site is not located within the Injune Commercial Precinct and will not impact on the commercial scale, intensity, form or character of the town.
(g) maintains the environment, including the soil, air and water compatible with healthy natural systems and public health and safety;
The site is located within a well established urban area. The proposed development will not adversely impact on the quality of the soil, air or water and public health and safety.
(h) does not prejudice or impact adversely on other uses including those within other zones;
The proposed development is for a Service Station in the Industrial Precinct of the Town Zone and will not prejudice or impact adversely on other uses.
(i) has appropriately designed access to the road network and traffic generated by the development does not impact adversely on the local road network;
The site will gain access from a 17.5m wide crossover to Airport Road located within proposed Lot 1. Egress from the site will be obtained from Lot 2 via an 11m wide driveway crossover to Airport Road.
The proposed development will not adversely impact on the operation of the road network. DTMR have assessed the impacts of the development on the State-controlled road network and imposed conditions of approval as detailed in Attachment 2.
(j) protects areas and sites of conservation importance, including cultural and high landscape values;
The site is not located in proximity to areas or sites of conservation importance.
(k) is undertaken in an orderly and logical sequence to achieve efficient provision of infrastructure, including social infrastructure;
The proposed development is for a Service Station in the Industrial Precinct. The site is serviced by traditional urban infrastructure and is in close proximity to community and retail facilities in the Injune town centre.
(l) is located and designed in ways that minimise the need for flood and landscape mitigation, and to protect people and premises from such natural events;
The site is not identified as being subject to natural hazards.
(m) has water supply, stormwater disposal, sustainable effluent and waste disposal and power, to appropriate standards, adequate for the use; and
The site is located in an urban area and is serviced by an appropriate level of infrastructure, including water supply and reticulated electricity.
(n) does not impact adversely on infrastructure.
The proposed development will not adversely impact on infrastructure.
The Code’s relevant Performance Criteria are shown below, in order to more easily permit structured and detailed consideration of relevant issues—
Town Zone Code
The Codes’ relevant Performance Criteria are shown below, in order to more easily permit structured and detailed consideration of relevant issues—
|
Performance Criteria |
Assessment responses |
|
A. A. For all the Town Zone |
|
|
1. Infrastructure |
|
|
PC 1 Electricity Premises are provided with a supply of electricity adequate for the activity. |
The proposed development will be connected to the electricity supply network. |
|
PC 2 Water Supply Premises are provided with an adequate volume and supply of water for the activity. |
The proposed development will be connected to the reticulated water supply network. |
|
PC 3 Effluent Disposal To ensure that public health and environmental values are preserved, all premises provide for the treatment and disposal of effluent and other waste water. |
The proposed development does not incorporate toilet facilities. It can utilise on-site sewerage disposal if required and trade waste collection services. The site will be connected to reticulated sewerage if this becomes available in the future.
|
|
PC 4 Stormwater/Inter-Allotment Drainage Stormwater is collected and discharged so as to: (a) protect the stability of buildings or the use adjacent land; (b) prevent the waterlogging of nearby land; and (c) protect and maintain environmental values. |
The proposed development will provide an appropriate stormwater drainage system in accordance with the standards in Schedule 6: “Standards for Stormwater Drainage”. |
|
PC 5 Vehicle Access Vehicle access is provided to a standard appropriate for the use. |
Access to the site will be via two new crossovers from Airport Road.
The site will gain access from a 17.5m wide crossover to Airport Road located within proposed Lot 1. Egress from the site will be obtained from Lot 2 via an 11m wide driveway crossover to Airport Road.
|
|
PC 6 Parking and Manoeuvring Vehicle parking and service vehicle provision is adequate for the use whilst ensuring both safe and functional operation for motorists and pedestrians. |
The proposed development is for an unmanned refuelling facility and does not require on-site car parking.
|
|
PC 7 Roads All weather road access is provided between the premises and the existing road network. |
The proposed crossovers will provide for all weather road access between the premises and the existing road network. |
|
PC 8.1 Highways All weather and road access is provided between the premises and the existing road network. |
The proposed development will gain access to Airport Road, which is not a State-controlled Road. Access to the Carnarvon Highway is not permitted as a requirement of DTMR as Concurrence Agency for the application. |
|
PC 8.2 Development adjacent to State Controlled Roads is located to ensure safe and efficient use of the highway and maintain the integrity of the highway as a commuter link.
|
The development will not gain access from the Carnarvon Highway. The DTMR were a Concurrence Agency for the application and imposed conditions, attached in Attachment 2. |
|
PC 8.3 Noise sensitive developments (residential, educational and community) must ensure that road traffic noise levels are appropriately managed to achieve acceptable levels of amenity. |
The proposed development is not a noise-sensitive use. |
|
PC 9 Gas and Oil Pipelines Buildings are located at an appropriate distance from pipelines to ensure community safety and operation of the use is not compromised. |
The site is not within 100m of a gas or oil pipeline corridor. |
|
PC 10 Refuse Tips and Effluent Treatment Plants Premises are located at an appropriate distance from refuse tips and effluent treatment plants to ensure community safety and operation of the uses is not compromised. |
The subject site is not within proximity to refuse tips and effluent treatment plants. |
|
PC 11.1 Rail Corridors Development is at an appropriate distance from the rail corridor so as not to prejudice safety, speed or intended role of the existing and proposed rail corridors.
PC 11.2 Development adjoining the rail corridor is protected from the impact of noise. |
The site is not located within 100m of a rail corridor. |
|
PC 12 Development in the Vicinity of the Aerodrome Development (a) does not adversely affect the operation of the aerodrome; (b) is designed and located to achieve a suitable standard of amenity for the proposed activity; and (c) does not restrict the future operational demands of the aerodrome. |
All buildings and structures will be less than 7.5m in height. |
|
PC 13 Development in the Vicinity of the Aerodrome The development of premises does not cause an obstruction or other potential hazard to aircraft movement associated with the aerodrome by way of: (a) the physical intrusion of buildings or other structures into the Obstacle Limitation Surface; (b) attracting birds or bats to the area which could cause or contribute to bird strike hazard; (c) providing very bright lighting or lighting similar to aerodrome lighting which can distract or confuse pilots; (d) interfering with navigation or communication facilities; (e) emissions that may affect pilot visibility or aircraft operations; or (f) transient intrusions into the aerodromes operational space. |
All buildings and structures will be less than 7.5m in height and the nature of the use will not result in any obstruction or hazard to aircraft movement. |
|
2. Environment |
|
|
PC 14 Watercourses Development ensures the maintenance of riparian areas and water quality including protection from off-site transfer of sediment. |
N/A – The site is not located in proximity to any watercourses. |
|
PC 15 Flooding Premises are designed and located so as: (a) not to adversely impacted upon by flooding; (b) to protect life and property; and (c) not to have an undesirable impact of the extent and magnitude of flooding. |
The site is not mapped as being affected by a 1 in 100 year flooding event.
|
|
PC 16 Air Emissions Air emissions from premises do not cause environmental harm or nuisance to adjoining properties or sensitive land uses. |
The proposed development will not cause environmental harm or nuisance from air emissions. The use will be required to operate in accordance with the conditions of approval for ERA 8 – Chemical Storage. |
|
PC 17 Noise Emissions Noise emissions from premises do not cause environmental harm or nuisance to adjoining properties or sensitive land uses. |
The proposed development is located in the Industrial Precinct of the Town Zone and is not in proximity to noise-sensitive land uses. |
|
PC 18 Water Quality The standard of effluent and/or stormwater runoff from premises ensures the quality of surface water is suitable for: (a) the biological integrity of aquatic ecosystems; (b) recreational use; (c) supply as drinking water after minimal treatment; (d) agricultural use; or (e) industrial use. |
Appropriate water quality treatment devices will be required as part of the stormwater collection and dispersal system. This will be included as a condition of approval. |
|
PC 19 Excavation and Filling Excavation and filling of land ensures: (a) that both the amenity and safety of users of the site and adjacent land holdings; and (b) soil erosion is kept to a minimum with remedial works. |
N/A – The proposal does not involve excavation or filling. |
|
PC 20 Construction Activities Both erosion control and silt collection measures are undertaken so as to ensure protection of environmental values during construction. |
Construction will be required to comply with the requirements of Schedule 8 – Standards for Construction Activity. |
|
PC 21 Cultural Heritage The significance of known places of indigenous and/or cultural heritage value is retained. |
N/A – The site is not in proximity to known places of indigenous and/or cultural heritage value. |
|
PC 22 Buildings of Significance The architectural merit and precinct value of cultural heritage items listed in Schedule 10 is maintained. |
N/A – The site is not in proximity to buildings of significance. |
|
PC 23 Character Buildings Development adjacent to buildings identified as heritage or character buildings within Schedule 10 incorporates design features, materials and details that blend with the existing character. |
N/A – The site is not in proximity to character buildings. |
|
B. For the Residential Precinct |
|
|
Residential Development and Dual Occupancies |
|
|
PC23-29 |
N/A – The site is located in the Industrial Precinct. |
|
For Non Residential Activities Located in the Residential Precinct |
|
|
PC 30-32
|
N/A – The site is located in the Industrial Precinct. |
|
i. C. For the Commercial Precinct |
|
|
PC 33-44 |
N/A – The site is located in the Industrial Precinct. |
|
ii. D. For the Industrial Precinct |
|
|
PC 45 Scale The scale and location of the industrial use on the site should contribute to the amenity of the precinct. |
The total use area will be less than 70 % of proposed Lot 1.
All buildings and structures on the site will be limited to 7.5 metres above ground level and will achieve a minimum front boundary setback of 6.0 metres.
The scale of the proposed development and on-site structures is consistent with the character of the area. |
|
PC 46 Vehicular Traffic Vehicular movements connected with uses in the industrial area ensure that the amenity of the adjacent residential area is not adversely affected. |
N/A – The site does not adjoin a residential area. |
|
PC 47 Landscaping Landscaping on the site: (a) contributes positively to the built form and the street; and (b) reduces the impact of the size and scale of the buildings. |
A landscaped buffer will be required along the frontage of proposed Lot 2 in order to contribute positively to the amenity of the industrial precinct. |
|
PC 48 Amenity The amenity of residential uses adjacent to the industrial area is protected through appropriate boundary screening. |
N/A – The site does not adjoin a residential precinct. |
|
PC 49 Building and Structure Design The building is designed and orientated to be identifiable from the street. |
N/A – The site does not involve an on-site office. |
|
PC 50 Building Appearance Buildings are designed and finished to a high quality appearance. |
N/A – The development does not propose any buildings on-site. |
|
For Non-Industrial Uses Located in the Industrial Precinct |
|
|
PC 51 Location Non Industrial activities are located and operated so as: (a) not to impact adversely on the function and character of the Industrial precinct; and (b) not to prejudice the consolidation of like non Industrial activities in other more appropriate areas. |
N/A – The proposed development is for a service station, which is considered an industrial use. |
|
iii. E. For the Open Space and Recreation Precinct |
|
|
PC 52-58 |
N/A – The site is located in the Industrial Precinct. |
|
F. For the Rural Residential Precinct |
|
|
PC 59-60 |
N/A – The site is located in the Industrial Precinct. |
|
G. G. Specific Land Uses |
|
|
PC 61-63 - Home Based Business |
N/A – The proposed development is for a Service Station and Reconfiguring a Lot |
|
PC 64-67 - Host Home Accommodation |
N/A – The proposed development is for a Service Station and Reconfiguring a Lot |
|
PC 68 - Telecommunication Facility |
N/A – The proposed development is for a Service Station and Reconfiguring a Lot |
Overall Outcomes for Reconfiguring a Lot Code
The Reconfiguring a Lot Code identifies overall outcomes providing direction about relevant assessment issues. The overall outcomes for the Reconfiguring a Lot Code are the purpose of the code and are as follows:
(a) are suited to the intended use and the policy intent of the relevant Area;
The proposed development is for an industrial subdivision within the Industrial Precinct of the Town Zone.
The site is located in close proximity to existing industrial development and the Carnarvon Highway.
The proposed lots comply with the minimum area and lot layout requirements contained in the Bungil Shire Scheme 2006 and the character of the immediate locality. The proposed development provides additional opportunity for the growth of industrial development to the south of the Injune township. The site does not contain any significant vegetation or ecologically significant areas and is therefore considered appropriate for residential development.
(b) promote good urban design outcomes, energy efficiency and walking, cycling and public transport as alternative forms of transport to the private car;
The proposed development will occur in immediate proximity to established industrial areas. The development exhibits good urban design outcomes by providing regularly shaped allotments with sufficient provision for vehicular access and manoeuvring from the proposed internal road network.
(c) provide for the protection of areas or features of environmental significance;
The subject site does not contain any features or areas of environmental significance that require protection.
(d) Maintain the productive capacity of Good Quality Agricultural Land and limit the fragmentation of Good Quality Agricultural Land below the minimum lot size;
The site is identified as GQAL but is located within the Industrial Precinct of the Town Zone. The site is not of sufficient area to sustain traditional rural industries such as cropping and grazing and therefore subdivision to create allotments is considered appropriate to increase opportunities for industrial development in an established industrial area.
(e) enable the efficient provision of infrastructure and services; and
The subject site is located within an industrial area and all proposed lots will be provided with reticulated water supply as a condition of development. On-site sewerage disposal can be utilised if required.
(f) enable sustainable on-site water supply and sewerage disposal in areas where reticulated services are not available.
Reticulated water supply will be required to all proposed lots as a condition of development. On-site sewerage disposal will be used until reticulated sewerage becomes available in the future.
The Code’s relevant Performance Criteria are shown below, in order to more easily permit structured and detailed consideration of relevant issues—
|
Relevant performance criteria - the Reconfiguring a Lot Code |
Assessment responses |
|
PC 1 Rural Area – Minimum Lot Size The reconfiguring of lots ensures the Rural Area retains its viability as an area of primary production consistent with the local character. |
N/A – The site is located within the Industrial Precinct of the Town Zone.
|
|
PC 2 Minimum Lot Size The reconfiguration of lots within the Town Zone are of a sufficient and practical size to accommodate the particular use within the precinct, whilst ensuring it is consistent with the local character and allows for effluent disposal. |
The site is located within the Industrial Precinct. Both proposed lots will exceed the minimum area of 600m2 (9446 and 3878 square metres respectively) and minimum frontage of 18m2 in accordance with the requirements of Acceptable Solution AS2.4. |
|
PC 3 Layout and Design The reconfiguration of lots: (a) ensures safe and liveable communities; (b) ensures safe and legible vehicle and pedestrian movement areas and roads; (c) integrates with adjoining land; and (d) ensures and protects environmental values, significant features, open space areas and areas of high conservation or landscape value |
The proposed lots comply with the minimum area and lot layout requirements contained in the Bungil Shire Scheme 2006 and are consistent with the size and dimensions of existing industrial lots along Airport Road to the south of the Injune township. |
|
PC 4 Siting of Buildings and Structures Lot size, layout and design ensures futures uses are able to comply with separation distances for buildings and structures in respect of: a) watercourses; b) ridgelines and escarpments; c) cultural heritage places; d) protected areas; e) Key Resource Areas; and f) Mining Leases
|
The proposed lot size, layout and design will ensure that future industrial uses can comply with the appropriate separation distances for buildings. |
|
PC 5 Electricity Transmission Line Easement Lot layout and design adjoining an Electricity transmission line easement promotes community safety and well being. |
N/A – The site is not subject to an electricity transmission line easement. |
|
PC 6 Street Lighting Street lighting is provided: a) to ensure safety of vehicles, cyclists and pedestrians; and b) to an appropriate engineering standard. |
Street lighting will be required to be provided in accordance with Schedule 2 – Standards for Roads, Car parking, Access and Manoeuvring, as a condition of development. |
|
PC 7 Water Supply Each lot has an adequate volume and supply of water, which is also adequate for firefighting purposes |
All proposed lots will be connected to Council’s reticulated water supply system in accordance with Schedule 4: “Standards for Water Supply” as a condition of development. |
|
PC 8 Effluent Disposal Each lot provides for the treatment and disposal of effluent and other waste water to ensure the protection of public health and environmental values. |
Each proposed lot can provide for on-site sewerage disposal when required. |
|
PC 9 Stormwater Stormwater is collected and discharged so as to: a) protect the stability of buildings or use of adjacent land; and b) protect and maintain environmental values. |
Conditions will require that an onsite stormwater drainage treatment system is established in accordance with Schedule 7: “Standards for Construction Activity”.
|
|
PC 10 Electricity Each lot is provided with an adequate supply of electricity.
|
Each lot will be required to be provided with separate electricity connections as a condition of development.
|
|
PC 11 Vehicle Access Vehicle access is provided to each lot to ensure safe and functional operation for motorists and pedestrians. |
Vehicular access to all lots will be required to comply with Schedule 2: “Standards for Roads, Car Parking, Access and Manoeuvring Areas” as a condition of development. The proposed internal road network is to be constructed generally in accordance with the approved plans.
|
|
PC 12 Roads, Firebreaks and Fire Maintenance Trails Adequate all weather road access is provided between each lot and the existing road network. In high and medium bushfire hazard areas, adequate road access is provided for firefighting/other emergency vehicles and for safe evacuation. |
N/A – The site is not within a high or medium bushfire hazard area. |
|
PC 13 Electricity transmission Line Easement – Separation Distance Habitable rooms and child oriented uses are separated from electricity easements to ensure community safety. |
N/A - The subject site is not subject to an electricity transmission line easement. |
|
PC 14 Excavation and Filling Excavating or filling of land: (a) ensures safety and amenity for each lot and for land in close proximity; (b) minimises soil erosion; and (c) limits detrimental impacts on water quality. |
No filling or excavation is proposed as part of the development.
|
|
PC 15 Construction Activities Erosion control measures and silt collection measures ensure that environmental values are protected during construction activities. |
Soil erosion and sediment will be required to be controlled in accordance with Schedule 8: “Standards for Construction Activity” as a condition of development.
|
|
PC 16 Bushfire Hazard Area Reconfiguring a lot maintains the safety of people and property by avoiding areas of High or Medium Bushfire Hazard or mitigating the risk through the provision of firebreaks. |
N/A – The site is not within a high or medium bushfire hazard area. |
Other assessment issues
Subsequent approval for Building and Operational Works and ERA Licenses will be required.
The DTMR imposed conditions of development, attached in Attachment 2.
|
Original Council Report 8 May 2013 |
Officer Report
|
Meeting: General 8 May 2013 |
Date: 1 May 2013 |
|
Item Number: 11.3 |
File Number: D13/16374 |
Subject Heading: Booringa Blokes Men's Shed Building
Classification: Open Access
Name of Applicant: The Booringa Blokes Men's Shed
Location: 14 Elizabeth St, Mitchell
Author & Officer’s Title: Bronwyn Moore, Coordinator - Community Development Mitchell
|
Executive Summary: The Booringa Blokes Men’s Shed Inc seeks Council’s in-principle support to build a shed on Council owned land in Mitchell |
|
Officer’s Recommendation: That Council provide in-principle approval to The Booringa Blokes Men’s Shed Inc to build a shed on Council land (next to the Booringa Heritage Museum), located at 14 Elizabeth St, Mitchell, should they be successful in securing grant funding. |
Body of Report:
The Booringa Blokes Men’s Shed Inc was created in August 2012 after it became evident that men in the Mitchell community needed a place where they could meet, socialise and share their skills and stories in aftermath of the floods.
The Men’s Shed provides opportunities for men of all ages in the community for social inclusion and is a safe space for men to come together and discuss their issues. This initiative also provides opportunities for skill development in wood work, metal work and general restoration.
The current premises the Men’s Shed occupies is a small room at the back of the Booringa Heritage Museum located at 14 Elizabeth St, Mitchell. The museum and surrounds are located on Council land. The small space available to the group is limited and does not adequately allow for the growing needs and the increasing amount of equipment.
Therefore, the Booringa Blokes Men’s Shed Inc. are in the process of submitting an application for $35,000 grant from Gambling Community Benefit Fund to build a 6m x 12m shed next to the museum. As the proposed building of this shed is on Council land, the Men’s Shed has submitted a letter and photos (attached) requesting in principle permission from Council to build on the land pending the success of their grant application. Should the group be successful in securing the grant, they will then approach Council for official building approval.
The Men’s Shed works very closely with the Booringa Heritage Museum and provides assistance by restoring items for display in the museum. Therefore, the close proximity of the new Men’s Shed space would also benefit the Booringa Heritage Museum and encourages cross communication, the sharing of knowledge and skills and provides an additional opportunity for socialisation with other community members. The Men’s Shed and the Booringa Heritage Museum are keen for the two organisations to continue working closely together and believe that being located next to each other would support the ongoing relationship.
The Gambling Community Benefit Fund grant closes on Friday 31 May and in order to apply, the Men’s Shed request a letter of in-principle support for building approval from Council to accompany their application.
A meeting has been held with Mark Westbrook, Building Technician, Maranoa Regional Council and he has provided in-principle approval for the size, use and location of the shed. Therefore, should the Men’s Shed be successful in their grant application, Mark can not see any reason why an official building application would be denied.
When it comes time to submit the building application, Men’s Shed committee members will liaise closely with the Coordinator – Community Development Mitchell and Mark Westbrook and his team, to ensure that the shed is built in accordance with Council Building and Infrastructure requirements, Workplace Health and Safety standards and other relevant legislation and policies.
Mark has also requested that approval be given for a reimbursement of any building application and travel fees associated with submission of relevant paperwork given the Not for Profit status of The Booringa Blokes Men’s Shed Inc.
Administration Procedure – Informing applicant:
Should the Men’s Shed be successful in their request and in-principle approval given, Bronwyn Moore, Coordinator – Community Development Mitchell will draft a letter for approval and signature by Julie Reitano, CEO, Maranoa Regional Council. Given the tight timeframes associated with this application and the link to a grant closing date, it would be ideal for the signed and approved letter to be sent by Friday, 17 May 2013.
Consultation (internal/external):
Tony Klein, Director - Community Services and Commercial
Katrina Marsh, Acting Manager - Community Development
Amanda Schneekloth, Coordinator – Building and Structures
Mark Westbrook, Building Technician
Gerard Bahre, Treasurer, The Booringa Blokes Men’s Shed Inc.
Keith Everett, Member, The Booringa Blokes Men’s Shed Inc.
Stuart Hunt, President, Booringa Heritage Museum
Risk Assessment (Legal, Financial, Political etc.):
If the Men’s Shed is unsuccessful in their building application and is unable to build a new larger work space, there is a risk that they may be unable to continue their steady growth and good work in the community. The Men’s Shed provides many community benefits such as social inclusion, skill development and knowledge sharing and it will be beneficial to both the group and the greater community for them to be able to move to a larger space.
Policy Implications:
Nil.
Financial Resource Implications:
Nil. All costs associated with the shed will be covered by the Gambling Community Benefit Fund grant. The ongoing maintenance and cleaning of the shed will be covered by The Booringa Blokes Men’s Shed. If the group is not successful in securing funding from this grant, they will look elsewhere for other grants. The Men’s Shed does not expect Council to fund any aspect of the building and maintenance of the shed.
Corporate Plan 2009-2013 — 8.4.3(a) To develop community capacity and encourage community engagement so as to address identified needs and opportunities to enhance the quality of life and wellbeing for residents of our region
Supporting Documentation:
|
1 |
Letter from Booringa Blokes Men's Shed re: building approval |
S13/6214 |
|
2 |
Mitchell Men's Shed - site plan |
D13/16603 |
Report authorised by:
|
Letter from The Booringa Blokes Men's Shed requesting permission to place a shed on old SES grounds in Mitchell |



|
Body of Report |
Background Information
The site is situated at 129-131 McDowall Street, Roma, shown in Figure 1.

Figure 1: Subject Site (Source: SARA mapping online)
Council issued a development approval on 29 July 2013. The applicant suspended the appeal period, and submitted representations dated 19 September 2013, requesting a Negotiated Decision Notice under s361(1)(a) of the Sustainable Planning Act 2009.
The applicant seeks to remove Condition 56 of the approval, which currently reads: “An awning over a pedestrian footpath must be provided in accordance with the approved plans listed in condition 3 and must accord with any DTMR requirements for lateral and vertical clearances for awnings along both streets and the truncation”.
Refer to Attachment 2, for the copy of the applicant’s representations.
Refer to Attachment 3, for a copy of the current Conditions of Approval.
Reasons for Recommendation
The two recommendation items are based on the following:
- The provision of an awning addresses Desired Environmental Outcome (a)(i) of the Roma Town Planning Scheme which states: “The areas of high scenic amenity, remnant vegetation, wetlands, fauna habitats and wildlife corridors and regionally significant open space in the town are protected”;
- The provision of an awning achieves in part DEO (b)(iii) of the planning scheme which states: “Beautification and improved parking facilities will enhance the efficiency, attractions and vitality of the Town CBD”;
- The provision of an awning addresses Overall Outcome (d) of the Urban Area Code which states: “Safe and convenient access for pedestrians and cyclists is maintained and enhanced”;
- The provision of an awning addresses Performance Criteria 37 of the Urban Area Code, which states: “The commercial area is enhanced with uses of a business nature or those which complement the commercial and retail character of the town centre”;
- The provision of an awning addresses Performance Criteria 38 of the Urban Area Code, which states: “Buildings and structures within the commercial area compliment the architectural character of the streetscape”;
- The provision of an awning is consistent with Purpose 4 of the Principle Centre Zone Code, of the Draft Maranoa Planning Scheme which states: The Heritage Character, shaded footpaths and reduced traffic speeds in the main street within 100m of the main street is maintained”.
Note: The Draft Maranoa Planning Scheme is scheduled for resolution by Council (for the meeting on 11 December 2013), to be forwarded to the Minister for Planning for approval to place the planning scheme on public display. Therefore, any draft planning scheme provisions which may relate to the subject development, should be considered in terms of the assessment;
- The provision of an awning is consistent with Acceptable Solution 8.1 of the Centre Zone Code (draft planning scheme), “All commercial buildings are to have fitted an awning: (a) Spanning the width of the frontage of the building; (b) Spanning the depth of the footpath at the frontage of the building; and (c) Of a height no less than awnings of adjacent buildings, or it there are no adjoining buildings, not lower than the mean height of other commercial awnings in the zone”;
- The approved plans incorporate a 6m x 6m truncation of the awning (on the corner of McDowall and Quintin Street), to allow for future upgrades of the intersection, as per the requirements from the Department of Transport & Main Roads.
- The subject site is located within the principle centre of the Maranoa Regional Council area, represents an entrance statement to the main commercial / retail street of Roma, and it is anticipated that the approved development will be long standing, therefore, it is pertinent to ensure that the local character is maintained and pedestrian amenity is enhanced;
- The awning represents an architectural style that compliments the character of the area, and ensures that an inconsistent precedent is not established;
- As detailed above, the inclusion of an awning addresses the provisions of both the current and draft planning schemes, and is necessary for the approved high-yield, intensive use of the site (i.e. 25 units); and
- The recommended amendment to Condition 56, stipulating the protection of the existing bottle tree within McDowall Street (shown in Figure 2), is in response to the representations submitted by the applicant, which state that the construction of the awning would result in the removal of the tree.
Figure 2: Bottle tree within McDowall Street (Source:
Google Street View - April 2008)
|
Body of Report |
1.0 Background information
The site is situated at 41476 Warrego Highway, Jackson, shown below:

Figure 1: Subject Site (Source: SARA mapping online)
Council issued an approval for the Material Change of Use on 16 October 2013. The applicant suspended the appeal period, and submitted representations dated 31 October 2013, requesting a Negotiated Decision Notice under s361(1)(a) of the Sustainable Planning Act 2009.
The applicant is seeking to change Condition 37 of the approval, which currently reads: “Hours of operation of the approved use are limited to 6am-6pm Monday to Saturday. No operations are to occur on Sundays or Public Holidays”.
The applicant has requested that the approved hours of operation be changed to allow for operation on Sundays and public holidays also.
The applicant has provided the following information in support of the request:
- “Contracts from gas authorities such as QGC, Arrow and Origin require deliveries of material to be made any day of the week as their staff work every day including Sundays and public holidays. The restriction of no operations on Sundays and public holidays will disadvantage the business opportunities of the quarry.
- The development fronts the Warrego Highway and it is argued that the additional traffic as a result of the quarry operations will not cause additional noise because the Warrego Highway is a major state-controlled road and is used by many large trucks every day, including Sundays and public holidays.
- The nearest neighbour, Lot 9 on BWR34, some 900m from the pit face, also fronts the Warrego Highway and it is argued that there will be a greater noise from the highway and adjacent railway line than from the quarry operating on Sunday.
- The Department of Environment and Heritage Protection have not included a condition with hours of operation, but instead a condition with noise limits, i.e. If the operations do not exceed the noise limit, then the quarry can operate at all times. See Condition N2 of DEHP Concurrence Agency Response dated 30 May 2013.
- It is also argued that contracted trucks from other areas need to be in use seven days per week and any trucks not under contract on Sundays and Public Holidays may cause a public nuisance by parking for a long period of time in service stations and trucks stops.”
Further, it is noted that during the public notification period for the development application, Council received a properly made submission (prepared by Ronald & Muriel Markey - 291 Trims Road, Jackson). The submission specifically states that they have no objections only if the hours of operation are restricted to 6am to 6pm Monday to Friday, and 7am to 3pm Saturday, with no operations on Sunday.
Reasons for Recommendation
The recommendation for refusal to operate on Sundays and public holidays is based on the following:
- The subject site is situated in relatively close proximity to the town of Jackson (i.e. approximately 2km west from the town), therefore exposed to generally greater concentrations of persons (including traffic) and development, as opposed to quarries in more remote locations. Therefore, it is considered appropriate to limit the hours of operation, in order to minimise potential impacts on the local amenity.
- The approved activity is considered a high-impact extractive industry as it involves blasting.
- There is a house located within 1000m of the site. The 1000m buffer area is identified in the Bendemere Shire Planning Scheme, as a suitable buffer between blasting activities and sensitive receptors. The development does not achieve this buffer area, and therefore, in addition to the impact mitigation measures in the approved Site Based Management Plan and the DEHP Permit, it is considered appropriate to limit the hours of operation.
- There was a properly made submission during public notification which specifically objected to operating on Sundays (as detailed in the previous section). This is reflected in the current conditions of approval.
Having regard to the above, it is considered that the current approved hours of operation are appropriate and should remain unchanged. Consideration may be given to extended operating hours for significant projects where the prior consent of Council has been obtained.
It is recommended a negotiated decision notice be issued amending Condition 37 to read:
“Hours of operation of the approved use are limited to 6am-6pm Monday to Saturday. No operations are to occur on Sundays or Public Holidays. The quarry operator may apply to Council to vary the hours of operation for a particular project where the extended operating hours are essential in the opinion of the Council because of the requirements and community benefits of the particular project. Any Council approval of the varied hours will be restricted to a period linked to the project and may be rescinded by the Council on 7 days notice if the extended hours of operation are causing serious nuisance or disruption to other persons.”
|
Area Maps for requested Road Closure - Northern Boundary of Lot 49 on WAL53326 - Wallumbilla |

